皮帶長度在基準系統或有效系統中確定。因此,首先要決定每個皮帶輪的基準或有效直徑。皮帶軌線基於個別皮帶輪的位置。調整滑動皮帶輪位置,以達到標準皮帶長度要求。計算使用重複解決方案來尋找最接近所需 (或目前) 滑動皮帶輪位置的適當滑動皮帶輪位置。
皮帶輪直徑
|
|
有槽皮帶輪 |
|
D e = D w + 2 h w |
|
|
D p = D w + 2 a |
|
|
D d = D w |
|
|
|
平皮帶輪順時鐘方向 |
|
D e = D + 2 h |
|
|
D p = D + 2 (h - h w + a) |
|
|
D d = D + 2(h - h w ) |
|
|
|
平皮帶輪逆時鐘方向 |
|
D e = D |
|
|
D p = D + 2 (h w - a) |
|
|
D d = D + 2 h w |
具有 2 個皮帶輪的功率傳輸範例
此範例使用基準系統。
接觸弧
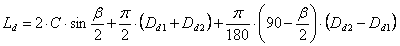
基準皮帶長度
中心距離
以下公式是建議的在決定新驅動的中心距離時的公式
0.7 (D d1 + D d2 ) ≤ C ≤ 2(D d1 + D d2 )
所用變數的意義:
|
D W |
標稱直徑 (基準或有效) [m] |
|
D e |
有效的 (外側) 皮帶輪直徑 [m] |
|
h w |
標稱高度 (對於有效系統,h w = 0) [m] |
|
a |
節距線偏移 (對於有效系統為負) [m] |
|
D |
平皮帶輪標稱外徑 [m] |
|
h |
皮帶高度 [m] |
|
D d |
皮帶輪基準直徑 [m] |
|
C |
中心距離 [m] |
| β |
接觸弧 [deg] |
|
L d |
基準皮帶長度 [m] |