轉換的扭矩
其中:
|
P |
傳遞的功率 [kW] |
|
|
n |
速度 [min -1 ] |
槽支撐表面上的壓力
1. 軸內徑 d h > 0
a)
b) 如果 d min ≤d h -> d min = 1.1 d h [mm]
c) 如果 d min ≤ 1.5 d h -> d min = 1.5 d h [mm]
2. 軸內徑 d h = 0
其中:
|
d min |
最小軸直徑 [mm] |
|
|
d h |
軸內徑 [mm] |
|
|
T |
扭矩 [Nm] |
|
|
K a |
應用係數 |
|
|
K f |
疲勞壽命係數 |
|
|
S v |
理想的安全度 |
|
|
τ Al |
允許的剪應力 |
用於轉換扭矩的最小栓槽長度
|
1. 固定接頭: |
![]() |
|
2. 彈性接頭: |
![]() |
|
其中: |
|
T |
扭矩 [Nm] |
|
|
K a |
應用係數 |
|
|
K f |
磨損壽命係數 |
|
|
K w |
應用係數 |
|
|
K m |
負載分配係數 |
|
|
S v |
理想的安全度 |
|
|
d s |
中間直徑 = (D + d) / 2 [mm] |
|
|
D |
槽剖面的外部直徑 [mm] |
|
|
d |
槽剖面的內部直徑 [mm] |
|
|
N |
槽數目 [-] |
|
|
h |
起槽高度 = (D - d) / 2 [mm] |
|
|
s |
倒角 [mm] |
|
|
h st |
接頭高度 h st = h - 2 s [mm] |
|
|
p Dmin |
軸或槽的支撐曲面上容許的壓力 [MPa] |
允許的壓力
|
1. 固定接頭: |
![]() |
|
2. 彈性接頭: |
![]() |
|
其中: |
|
T |
扭矩 [Nm] |
|
|
K a |
應用係數 |
|
|
K f |
磨損壽命係數 |
|
|
K w |
應用係數 |
|
|
K m |
負載分配係數 |
|
|
S v |
理想的安全度 |
|
|
d s |
中間直徑 = (D + d) / 2 [mm] |
|
|
D |
槽剖面的外部直徑 [mm] |
|
|
d |
槽剖面的內部直徑 [mm] |
|
|
N |
槽數目 [-] |
|
|
h |
起槽高度 = (D - d) / 2 [mm] |
|
|
s |
倒角 [mm] |
|
|
h st |
接頭高度 h st = h - 2 s [mm] |
|
|
l f |
有效鍵長度 [mm] |
強度檢查
p min ≤ p ds
p min ≤ p dh
其中:
|
p min |
計算的最小 h/2 壓力 [MPa] |
|
|
p ds |
桿中容許的壓力 [MPa] |
|
|
p dh |
輪轂中容許的壓力 [MPa] |
根據 CSN 01 4950 進行公制計算
彎曲應力
其中:
|
s sf |
軸弦齒的齒根厚度 |
s sf = 2.17m |
|
|
h |
軸齒高度 |
h = 1.1m - 0.05 |
中心對準於齒側,平槽底 |
|
h = 1.28m - 0.05 |
中心對準於齒側,圓槽底 |
||
|
h = 1.2 m |
中心對準於外部 |
支撐槽曲面的槽上的壓力
其中:
|
h n |
負載軸承的栓槽高度 |
h n = 0.9 m - 0.05 |
最小花鍵長度
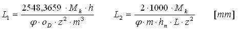
L min = max {L 1 , L 2 } [mm]
其中:
建議值:L = (0.8 - 1.6) D
花鍵檢查
p ≤ p d and σ≤σ d
其中:
|
P |
傳遞的功率 [kW] |
|
|
n |
速度 [min -1 ] |
|
|
z |
齒數 [-] |
|
|
p D |
齒的接觸面容許的壓力 [MPa] |
|
|
σ D |
容許的彎曲應力 [MPa] |
|
|
L |
有效栓槽長度 [mm] |
|
|
D |
額定花鍵直徑 [mm] |
|
| ϕ |
齒側接觸係數 |