結晶分析的理論基礎

當將熱塑、半結晶材料與適當結晶形態性質資料一起使用時執行結晶分析的選項已實施。

結晶動力學塑型

結晶動力學塑型,包括流動增強結晶,以及在剪切流期間及之後因流動而引起的半結晶材料形態變更,已在熱塑流求解器中實施。

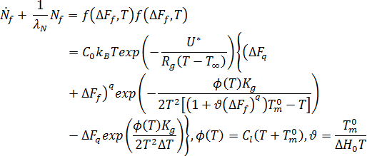
未見結晶生成率受材料流動的顯著影響。因此,我們假設生成率僅取決於溫度,並遵循 Hoffman-Lauritzen 理論[1],其中 為特定於材料等級的常數,可於靜態條件下確定, 為運動的啟用能源, 為氣體常數, 為玻璃轉換溫度, 為特定於材料等級的平衡熔膠溫度,假定其僅取決於壓力。

會選擇線性函數[2] 來描述壓力相依性[2],其中, 為平衡熔膠溫度, 為針對此材料特定於等級的 PVT 模型常數, P 為壓力。

核產生表示為靜態條件下已啟用核的總數 ,加上因流動引發的啟用核數

在靜態條件下啟用的核數假設為超冷卻溫度的唯一函數 ,且由 [3] 描述: ,其中, 為特定於材料等級的常數。

有關結晶流動的影響,其考慮因素為使過量自由能量和流動引起的配向與結晶動力學相關聯。流動引起的核數由下列微分方程得出:

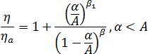
結晶性的開發會導致黏度增加,並最終導致凝固。已在模擬中採用增強係數來描述在以下黏度下的結晶性影響[4],其中, 是整個系統的黏度, 是非結晶階段的黏度, 是相對結晶性。

參考文獻

[1] Lauritzen, S. I., and J. D. Hoffman, ''Theory of formation of polymer crystals with folded chains in dilute solution,'' J. Res. Natl. Bur. Stand. 64A, 73-102 (1960)

[2] Fulchiron, R., E. Koscher, G. Poutot, D. Delaunay, and G. Regnier, ''Analysis of the pressure effect on the crystallization kinetics: dilatometric measurements and thermal gradient modelling,'' J. Macromol. Sci., Phys. 40, 297-314 (2001)

[3] Koschei, E., and R. Fulchiron, ''Influence of shear on polypropylene crystallization: morphology development and kinetics,'' 聚合物 43, 6931-6942 (2002)

[4] Zheng, R. and P. K. Kennedy, "A model for post-flow induced crystallization: General equations and predictions", J. Rheol., 48(4), 823-842 (2004)