「非等向性擴散」(ARD) 模型是在使用長纖維複合材料執行纖維配向分析時,用來計算纖維配向的一個選項。
長度超過 1 mm 的纖維一般稱為長纖維。通常,在射出成型零件中,就以流動方向對齊的纖維而言,長纖維材料中的纖維弱於短纖維材料中的纖維。用於 Folgar-Tucker 與「減少應變閉合」模型中的等向性擴散無法抓取長纖維材料中的纖維之間互動的行為,而且無法同時準確預測所有纖維配向元件。
等向性擴散已由非等向性旋轉擴散 (ARD) 取代,該項目在單位球體的表面上定義,該表面由 Phelps 與 Tucker 所開發的單位向量之所有配向來追蹤。

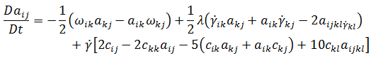
在此,旋轉擴散張量
假設為
和
的二次函數,定義為:

其中每個
是純量常數,且其值已透過匹配實驗穩定狀態配向及要求穩定配向來確定。設定
與
(j=2,......,5) 與 可將 ARD 模型簡化為 Folgar-Tucker 模型。
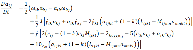
ARD 模型的 RSC 版本 (ARD-RSC 模型) 也發展為:

Phelps, J. and C. L. Tucker III, An Anisotropic Rotary Diffusion Model for Fiber Orientation in Short- and Long-Fiber Thermoplastics. Journal of Non-Newtonian Fluid Mechanics 156(3): 165–176 (2009).