等同於樑元素的剖面形狀

若要簡化計算,可以將具有非圓形剖面形狀的樑元素轉換為等效圓形樑。

也需要考慮到原始形狀的熱傳導。「形狀係數」(實際剖面形狀的外圓周與具有等效剖面面積的圓形樑圓周之比) 可針對轉換的樑應具有的額外表面面積進行調整。

樑元素支援的剖面形狀

下表列示定義剖面形狀的可用剖面形狀及所需尺寸。

形狀 所需尺寸
圓形 直徑 (2r)
環形 外徑 (do)、內徑 (di)
半圓形 直徑 (2r)、高度 (t)
矩形 寬度 (a)、高度 (b)
梯形 頂部寬度 (b)、底部寬度 (a)、高度 (h)
U 形 (圓角梯形),其中 H = D 寬度 (W)、高度 (H)
U 形 (圓角梯形),其中 H > D 寬度 (W)、高度 (H)、直徑 (d)
橢圓 長半徑 (a)、短半徑 (b)
其他 等效直徑、形狀係數
小心: 針對 U 形樑,請確保高度不超過寬度。如果輸入的高度值大於寬度,則軟體會設定 H = W。

非圓形樑剖面形狀的等效直徑與形狀係數

下表顯示定義非圓形樑剖面形狀的所需尺寸,並顯示針對每個樑形狀定義等效直徑與形狀係數的計算。

註: 圓形與環形樑形狀會由分析明確求解。沒有必要針對圓形或環形樑形狀計算等效直徑或形狀係數。
形狀 剖面幾何圖形 等效直徑,以等效剖面面積為基礎 形狀係數
半圓形

矩形
矩形
梯形
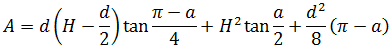
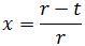
U 形 (或圓角梯形),其中 H = D
U 形 (或圓角梯形),其中 H > D

其中,

其中,

橢圓
小心: 在以上公式中,角度測量方式必須以弧度 (而非度數) 表示。
小心: 針對 U 形樑,請確保高度不超過寬度。如果輸入的高度值大於寬度,則軟體會設定 H = W。

具體範例

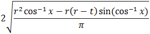
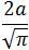
有一個矩形流道的剖面寬度 (a) 為 5 mm,高度 (b) 為 3 mm。

若使用以上公式,此流道可由直徑為

即 4.37 mm 的圓形樑元素塑型。

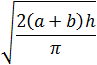
流道所需要的形狀係數為

即 1.16。

為此樑元素塑型時,請選取 編輯 (「幾何圖形」頁籤 > 「性質」面板 > 「編輯」)。在「剖面為」方塊中,選取「其他形狀」。按一下「編輯尺寸」,然後在出現的「剖面尺寸」對話方塊中輸入等效直徑 (4.37) 與形狀係數 (1.16) 的計算值。