Výpočty čepových spojů se závlačkou pro britské jednotky

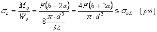
Ohybové napětí

Tlak v táhle

Tlak ve vidlici

Smykové napětí

Smykové napětí

kde:

 

F

síla [lb]

 

σ 0

ohybové napětí [psia]

 

σ 0D

přípustné napětí v ohybu [psi]

 

M 0

ohybový moment [lb ft]

 

W 0

modul průřezu v ohybu [in 3 ]

  τ

smykové napětí [psi]

 

τ D

přípustné smykové napětí [psi]

 

d

průměr kolíku [in]

 

p 1

tlak v táhle [psia]

 

p 2

tlak ve vidlici [psi]

 

p 1D

přípustný tlak v táhle [psi]

 

p 2D

přípustný tlak ve vidlici [psi]

 

b

šířka táhla [in]

 

a

šířka ramene vidlice [in]