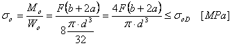
Ohybové napětí

Tlak v táhle
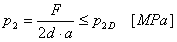
Tlak ve vidlici
Smykové napětí
kde:
|
F |
síla [N] |
|
|
σ 0 |
ohybové napětí [MPa] |
|
|
σ 0D |
dovolené napětí v ohybu [MPa] |
|
|
M 0 |
ohybový moment [N mm] |
|
|
W 0 |
modul řezu v ohybu [ 3 mm] |
|
| τ |
smykové napětí [MPa] |
|
|
τ D |
přípustné smykové napětí [MPa] |
|
|
d |
průměr kolíku [mm] |
|
|
p 1 |
tlak v táhle [MPa] |
|
|
p 2 |
tlak ve vidlici [MPa] |
|
|
p 1D |
přípustný tlak v táhle [MPa] |
|
|
p 2D |
přípustný tlak ve vidlici [MPa] |
|
|
b |
šířka táhla [mm] |
|
|
a |
šířka ramene vidlice [mm] |