Použitím uživatelských výrazů určete přesně jak chcete realizovat rozvinutí zón ohybu v rámci ohnuté plechové části modelů.
Plechové součásti jsou definovány ohnutým nebo funkčním stavem, ale jsou vyráběny z plochého plechu. Ohyby, které se rozvinou, deformují materiál v mezích zóny ohýbání. Rozsah deformace závisí na některých proměnných. Transformace složeného modelu na rovný stav vyžaduje výpočty pro danou deformaci pomocí jedné ze tří metod:
- lineární zaokrouhlení pomocí definovaného kSoučinitele,
- naměřené hodnoty uložené do tabulky ohybů pro konkrétní materiály, hodnoty úhlů ohybů a nástrojařství,
- uživatelské výrazy, které poskytují jednotnou deformaci v rámci zadaných hraničních úhlových podmínek.
Uživatelské výrazy jsou definovány v rámci pojmenovaného pravidla rozvinu, které je definováno pomocí dialogu Editor stylu a norem.
Typ kompenzace ohybu
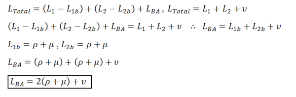
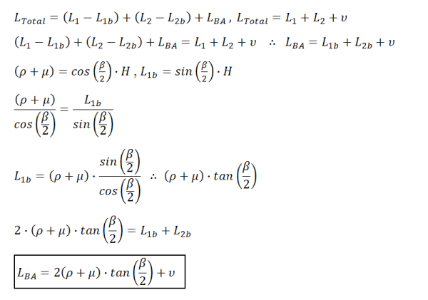
Celkovou rozvinutou délku lze určit pomocí výrazu kompenzace ohybu:
kde:
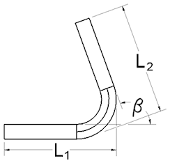
. je celková rozvinutá délka,
. je délka od první plochy detailu k pomyslné hraně,
. je délka od druhé plochy detailu k pomyslné hraně,
. je výsledek výpočtu přídavku na ohyb. Inventor vypočte přídavek na ohyb pomocí následujících výrazů. Pokud jde o úhlové případy, kde
, používá aplikace Inventor výraz
, kde:
. je úhel ohybu,
. je délka přídavku na ohyb,
. je vnitřní poloměr plochy ohybu,
. je tloušťka plechu,
. je výsledek výpočtu přídavku na ohyb.
Rozšíření původního výrazu, aby zahrnoval výpočet přídavku na ohyb, bude následující:
Pokud jde o úhlové případy, kde
, použije se následující výraz:
Rozšíření původního výrazu, aby zahrnoval výpočet přídavku na ohyb, bude následující:
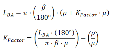
Jakmile je přídavek na ohyb stanoven, kSoučinitel lze odvodit pomocí následujícího vztahu:
Typ odvození ohybu
Výraz odvození ohybu slouží k určení celkové rozvinuté délky:
Použití výrazu odvození ohybu je metoda výpočtu, která je přesným opakem metody kompenzace ohybu.
Inventor vypočte pro odvození ohybu přídavek na ohyb pomocí následujících výrazů.
Platí-li pro úhel nerovnice:
Pokud jde o úhlové případy, kde
, použije se následující výraz:
Typ vůle ohybu
Definovaný výraz je uveden k přímému řešení přídavku na ohyb. KSoučinitel může být odvozen z následujícího výrazu:
Typ KSoučinitele
Stanovení celkové rozvinuté délky pomocí KSoučinitele používá výraz:
Přídavek na ohyb je počítán pomocí následující rovnice:
Úprava uživatelských výrazů rozvinu
Popisuje, jak lze definovat čtyři typy uživatelských výrazů při úpravě pojmenovaného pravidla rozvinu.
Typ výrazu vybraný v editoru stylů a norem určuje proměnnou, která definuje levou stranu výrazu. Klávesy k zadání znaku v dialogu Úpravy výrazů poskytují možnost vložit jedním kliknutím úhel, poloměr, tloušťku a Pí.
Typ proměnné je definován vybraným typem výrazu v dialogu Editor stylů a norem před otevřením dialogu Úpravy výrazů.
- Pokud je v dialogu Editor stylů a norem jako metoda rozvinu vybrána možnost Uživatelský výraz, klikněte dvakrát v buňce Uživatelský výraz umístěné vlevo od ohraničující podmínky, u které chcete uživatelský výraz definovat.
- V dialogu Úprava výrazu zadejte výraz, který definuje proměnnou zobrazenou mimo pole pro zadání výrazu:
. Vloží změřenou proměnnou úhlu do uživatelského výrazu rozvinu.
. Vloží změřenou proměnnou vnitřního poloměru do uživatelského výrazu rozvinu.
. Vloží změřenou proměnnou tloušťky do uživatelského výrazu rozvinu.
. Vloží matematickou hodnotu Pí do uživatelského výrazu rozvinu.
- Pole pro zadání výrazu přijímá zadání z klávesnice, kterým se definuje uživatelský výraz rozvinu.
- (Volitelné) Chcete-li změnit typ proměnné, pro kterou se řeší uživatelský výraz, klikněte na tlačítko Storno a poté vyberte správný typ výrazu v dialogu Editor stylů a norem.
Úprava hraničních podmínek uživatelských výrazů rozvinu
Výrazy rozvinu lze definovat u rozsahů úhlů, poloměrů nebo tloušťek tak, že určíte hraniční podmínky pomocí dialogu Úpravy ohraničení.
- Pokud je jako metoda rozvinu v dialogu Editor stylů a norem vybrána položka Uživatelský výraz, klikněte dvakrát v buňce Ohraničující podmínka umístěné vpravo od uživatelského výrazu, pro který chcete ohraničující podmínku definovat.
- V dialogu Úpravy ohraničení v horním řádku rozevíracích seznamů vyberte operátor rovnosti a typ rozsahu k vytvoření výrazu, který určuje rozsah úhlu, tloušťky nebo poloměru.
- V dolních řádcích v polích na levé a pravé straně zadejte hodnoty mezí hraničních podmínek.