Výpočetní vzorce pro spoje s perem v metrických jednotkách

Přenášený krouticí moment

kde:

 

P

výkon [kW]

 

n

otáčky [ot/min]

Výpočet minimálního průměru hřídele

1. vnitřní průměr hřídele d h > 0

a)

b) je-li d min d h -> d min = 1,1 d h [mm]

c) je-li d min 1,5 d h -> d min = 1,5 d h [mm]

2. vnitřní průměr hřídele d h = 0

kde:

 

d min

minimální průměr hřídele [mm]

 

d h

vnitřní průměr hřídele [mm]

 

T

krouticí moment [Nm]

 

K a

koeficient použití

 

K f

koeficient životnosti

 

S v

požadovaná bezpečnost

 

τ A

dovolené napětí ve smyku

Obecný výpočet

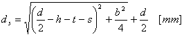
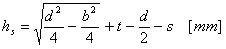
rozsah působení sil na hřídel

h k = h - h s - 2 s [mm]

rozsah působení sil na náboj

průměr hřídele rozsahu působení sil

průměr náboje rozsahu působení sil

síla na hřídel

síla na náboj

kde:

 
 

T

krouticí moment [Nm]

 

F s

síla na hřídel [N]

 

F h

síla na náboj [N]

 

K a

koeficient použití

 

K f

koeficient opotřebení

 

K w

koeficient použití

 

K m

koeficient rozložení zatížení

 

S v

požadovaná bezpečnost

 

d

průměr hřídele [mm]

 

d s

průměr hřídele, kde působí síla F s [mm]

 

d h

průměr hřídele, kde působí síla F d [mm]

 

N

počet drážek [-]

 

h

výška drážky

 

h s

výška působiště síly na hřídeli [mm]

 

h h

výška působiště síly na náboji [mm]

 

b

šířka drážky

 

t

hloubka drážky v hřídeli [mm]

 

s

zkosení

 

p Dmins

minimální dovolený tlak (drážka, hřídel) [MPa]

 

p Dminh

minimální dovolený tlak (drážka, náboj) [MPa]

Minimální délka pera k přenosu krouticího momentu

1. Pevné spojení:

a)

 

b)

 

L min = min(L mins , L minh )

2. Pružné spojení:

a)

 

b)

 

L min = min(L mins , L minh )

kde:

 
 

F s

síla na hřídel [N]

 

F h

síla na náboj [N]

 

K a

koeficient použití

 

K f

koeficient opotřebení

 

K w

koeficient použití

 

K m

koeficient rozložení zatížení

 

S v

požadovaná bezpečnost

 

d

průměr hřídele [mm]

 

N

počet drážek [-]

 

h s

výška působiště síly na hřídeli [mm]

 

h h

výška působiště síly na náboji [mm]

 

p Dmins

minimální dovolený tlak (drážka, hřídel) [MPa]

 

p Dminh

minimální dovolený tlak (drážka, náboj) [MPa]

Minimální přípustný tlak

1. Pevné spojení:

a)

 

b)

2. Pružné spojení:

a)

 

b)

kde:

 
 

F s

síla na hřídel [N]

 

F h

síla na náboj [N]

 

K a

koeficient použití

 

K f

koeficient opotřebení

 

K w

koeficient použití

 

K m

koeficient rozložení zatížení

 

S v

požadovaná bezpečnost

 

d

vnitřní průměr drážkového profilu [mm]

 

N

počet drážek [-]

 

h s

výška působiště síly na hřídeli [mm]

 

h h

výška působiště síly na náboji [mm]

 

l f

funkční délka pera [mm]

Pevnostní kontrola

p mins p Ds

p minh p Dh

kde:

 

p mins

minimální vypočtený tlak ve smyku v hřídeli [MPa]

 

p minh

minimální vypočtený tlak ve smyku v náboji [MPa]

 

p Ds

dovolený tlak v hřídeli [MPa]

 

p Dh

dovolený tlak v náboji [MPa]

Zjednodušený výpočet

Minimální délka pera k přenosu krouticího momentu

1. Pevné spojení:

2. Pružné spojení:

kde:

 
 

T

krouticí moment [Nm]

 

K a

koeficient použití

 

K f

koeficient opotřebení

 

K w

koeficient použití

 

K m

koeficient rozložení zatížení

 

S v

požadovaná bezpečnost

 

d

průměr hřídele [mm]

 

N

počet drážek [-]

 

h

výška drážky

 

s

zkosení

 

h st

Výška spojení h st = h - 2 s [mm]

 

p Dmin

přípustný tlak v opěrné ploše hřídele, drážky nebo náboje [MPa]

Přípustný tlak

1. Pevné spojení:

2. Pružné spojení:

kde:

 
 

T

krouticí moment [Nm]

 

K a

koeficient použití

 

K f

koeficient opotřebení

 

K w

koeficient použití

 

K m

koeficient rozložení zatížení

 

S v

požadovaná bezpečnost

 

d

průměr hřídele [mm]

 

N

počet drážek [-]

 

h

výška drážky

 

s

zkosení

 

h st

Výška spojení h st = h - 2 s [mm]

 

l f

funkční délka pera [mm]

Pevnostní kontrola

p min p Ds

p min p Dh

kde:

 

p min

minimální vypočtený tlak h/2 [MPa]

 

p Ds

dovolený tlak v hřídeli [MPa]

 

p Dh

dovolený tlak v náboji [MPa]