Plastizität bei Druck

Vor dem Lastabfall ist das Druckplastizitätsmodell gleich dem Zugplastizitätsmodell. Die Plastizitätsreaktion wird von der effektiven plastischen Dehnung εp,eff bestimmt, unabhängig davon, ob der momentane Spannungszustand aus Druck oder Zug herrührt. In anderen Worten: Wir führen die gleichen Berechnungen für Zug und Druck aus, um die Entwicklung der effektiven plastischen Dehnung für jedes vorgeschriebene Inkrement zu bestimmen.

Wenn der Spannungs- oder Dehnungszustand Zugbelastung ist, verwenden wir die Zugversion der Plastizitätsparameter: σ0+, n+, α+ und β+. Wenn der Spannungs- oder Dehnungszustand Druckbelastung ist, verwenden wir die Druckversion der Plastizitätsparameter: σ0-, n-, α- und β-.

Festlegen des Belastungsstatus

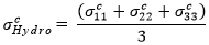
Wir führen zwei Prüfungen durch, um zu ermitteln, ob die Belastung von Druck oder Zug herrührt. Zunächst verwenden wir den Dehnungszustand. Dazu müssen wir die hydrostatische Dehnung des Verbundwerkstoffs bewerten, die wie folgt definiert ist:

Wenn εchydro < 0, wird der Dehnungszustand des Verbundwerkstoffs vom Druck bestimmt, und wir überspringen die zweite Prüfung. Wenn εchydro > 0, wird der Dehnungszustand des Verbundwerkstoffs vom Zug bestimmt, und wir führen eine zweite Prüfung unter Verwendung der hydrostatischen Spannung des Verbundwerkstoffs durch.

Wenn σchydro < 0, wird der Spannungszustand des Verbundwerkstoffs vom Druck bestimmt. Wenn σchydro > 0, wird der Spannungszustand des Verbundwerkstoffs vom Zug bestimmt.