Christensen-Kriterium

Das Christensen-Kriterium [17] verwendet die folgenden sechs grundlegenden Festigkeiten des Verbundmaterials, um zwei unterschiedliche Ausfallmodi zu identifizieren.

Die beiden Ausfallmodi sind das Matrix- und das Faserversagen.

= Wert von σ11 bei Ausfall durch Längszug

= Wert von σ11 bei Ausfall durch Längsdruck

= Wert von σ22 bei Ausfall durch Querzug

= Wert von σ22 bei Ausfall durch Querdruck

= Absoluter Wert von σ12 bei Ausfall durch Längsscherung

= Absoluter Wert von σ23 bei Ausfall durch Querscherung

Die Gleichung für das Matrixausfallkriterium lautet

wobei die Querscherfestigkeit S23 folgendes erfüllen muss:

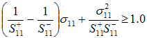
Die Gleichung für das Faserausfallkriterium lautet