Das Christensen-Kriterium verwendet die folgenden sechs grundlegenden Festigkeiten des Verbundmaterials, um zwei unterschiedliche Fehlermodi zu identifizieren: Matrix-Ausfall und Faserausfall.
= Wert von σ11 bei Ausfall durch Längszug
= Wert von σ11 bei Ausfall durch Längsdruck
= Wert von σ22 bei Ausfall durch Querzug
= Wert von σ22 bei Ausfall durch Querdruck
= Absoluter Wert von σ12 bei Ausfall durch Längsscherung
= Absoluter Wert von σ23 bei Ausfall durch Querscherung
Die Gleichung für das Matrixausfallkriterium lautet
wobei die Querscherfestigkeit S23 folgendes erfüllen muss:
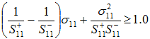
Die Gleichung für das Faserausfallkriterium lautet
