Das Hashin-Kriterium identifiziert vier verschiedene Ausfallmodi für das Verbundmaterial: Faserausfall durch Zug, Faserausfall durch Druck, Matrixausfall durch Zug und Matrixausfall durch Druck.
= Wert von σ11 bei Ausfall durch Längszug
= Wert von σ11 bei Ausfall durch Längsdruck
= Wert von σ22 bei Ausfall durch Querzug
= Wert von σ22 bei Ausfall durch Querdruck
= Absoluter Wert von σ12 bei Ausfall durch Längsscherung
= Absoluter Wert von σ23 bei Ausfall durch Querscherung
Wenn
, lautet das Kriterium für Faserausfall durch Zug:
Wenn
, lautet das Kriterium für Faserausfall durch Druck:
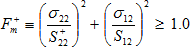
Wenn
, lautet das Kriterium für Matrixausfall durch Zug:
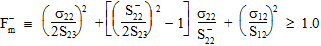
Wenn
, lautet das Kriterium für Matrixausfall durch Druck:
und S23.
: Benutzerdefinierter Koeffizient, der bestimmt, welchen Beitrag die längsseitige Scherspannung zum Faserausfall durch Zug leistet. Gültige Werte liegen im Bereich zwischen 0.0 ≤
≤ 1.0. Der Vorgabewert ist
= 0.