Grundlegende geometrische Berechnung für Kegelräder

Eingangsparameter

Verzahnungstyp - entsprechend der Position des Fuß- und Kopfkegels

Übersetzungsverhältnis und Zahnanzahl

Eingriffswinkel (Winkel des Zahnprofils) α t

Schrägungswinkel β m

AchsenwinkelΣ

Tangentialmodul am Außenkegel met (für metrische Berechnung)

1/Tangentialmodul am Außenkegel (für englische Einheiten)

Anmerkung: 1/Modul ist der Kehrwert von Modul.

Zahnkopfhöhe ha *

Spiel c *

Fußhöhenrundung r f *

Zahnbreiten b 1 , b 2

Einheitenkorrektur x = x 1 = - x 2

Einheitenwechsel der Zahndicke x t = x t1 = - x t2

Zusätzliche geometrische Berechnungen

Verteilung der Einheitenkorrektur für Endräder

Entwurf nach Festigkeitsberechnung

Entwurf der Zahnbreite

Berechnung der maximalen Fußabrundung

Berechnete Parameter

 

Normaler Eingriffswinkel in der Mittelebene

 

tg α nm = tg α t cos β m

Winkel des Teilkreises

 

Außendurchmesser des Teilkreises

 

d e1,2 = m et z 1,2

Außenlänge der Oberflächenlinie am Teilkegel

 

Länge der Oberflächenlinie am Mittelkegel

 

R m = R e - 0.5 b

Relative Zahnbreite

 

Tangentialmodul am Mittelkegel

 

Normalmodul am Mittelkegel

 

m mn = m mt cos β m

Mittlerer Flankendurchmesser

 

d m1,2 = m mt z 1,2

Entsprechende Zahnanzahl

 

Entsprechender Flankendurchmesser

 

Entsprechender Grundkreisdurchmesser

 

d vb1,2 = d v1,2 cos α t

Entsprechender Außendurchmesser

 

d va1,2 = d v1,2 + 2 h ae1,2 m mt / m et

Entsprechender Achsabstand

 

a v = 0.5 (d v1 + d v2 )

Virtuelles Übersetzungsverhältnis

 

Virtuelle Anzahl der Zähne

 

Virtueller Flankendurchmesser

 

Virtueller Grundkreisdurchmesser

 

d bn1,2 = d n1,2 cos α t

Virtueller Außendurchmesser

 

d an1,2 = d n1,2 + 2 h ae1,2 m mt / m et

Virtueller Schrägungswinkel am Basiszylinder

 

sin β b = sin β m cos α nm

Virtueller Achsabstand

 

a n = 0.5 (d n1 + d n2 )

Reduzierung der Zahnfußhöhe

 

k 1,2 = 0.02 (17 - z n1,2 )

Für k > 0 wird der Zahnfuß gekürzt.

Zahnkopfhöhe

 

h ae1,2 = m et (h a * + x 1,2 - k 1,2 )

Zahnfußhöhe

 

hf e1,2 = m et (h a * + c * - x 1,2 )

Außendurchmesser

 

d ae1,2 = d e1,2 + 2ha e1,2 cos δ 1,2

Fußkreisdurchmesser

 

d fe1,2 = d e1,2 - 2 hfe1,2 cos δ 1,2 )

Außendurchmesser am kleinen Ende

 

d ai1,2 = d ae1,2 (1 - φ R )

Scheitelpunktabstand

 

A 1,2 = R e cos δ 1,2 - h ae1,2 sin δ 1,2

Außenwinkel des Kegels

 

Winkel des Fußkegels

 

Zahndicke (zumeist gemessen am Flankendurchmesser)

 

Flächenbreite an der Sehne (normal)

 

s ke1,2 = s e1,2 cos 2 α t

Zahnkopfhöhe über der Sehne

 

Breite der Zahnkopfhöhe der Einheit (normal gemessen)

 

 

Dabei gilt:

 
   

Betriebsbreite der Verzahnungen

 

b w = b

Koeffizient für die Anzahl eingreifender Zähne

 

ε = ε + ε

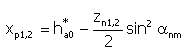
Mindestkorrektur ohne Zahnverjüngung

 

 

Dabei gilt:

   

h a0 * = h a * + c * - r f * (1 - sin α t )

Mindestkorrektur ohne Unterschnitt

 

Mindestkorrektur ohne Unterschnitt

 

Schrägungswinkel am Ende

 

sinβ e = sinβ m R m /R e

Normaler Eingriffswinkel am Ende

 

tanα ne = tanα t cosβe