Berechnungen für Bolzenverbindungen in metrischen Einheiten

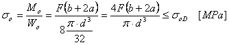
Biegespannung

Druck im Stab

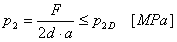
Druck im Zapfen

Scherspannung

Dabei gilt:

 

F

Kraft [N]

 

σ 0

Biegespannung [MPa]

 

σ 0D

Zulässige Biegespannung [MPa]

 

M 0

Biegemoment [N mm]

 

W 0

Widerstandsmoment der Biegung [mm 3 ]

  τ

Scherspannung [MPa]

 

τ D

Zulässige Scherspannung [MPa]

 

d

Stiftdurchmesser [mm]

 

p 1

Druck im Stab [MPa]

 

p 2

Druck im Zapfen [MPa]

 

p 1D

Zulässiger Druck im Stab [MPa]

 

p 2D

Zulässiger Druck im Zapfen [MPa]

 

b

Stabbreite [mm]

 

a

Zapfenarmbreite [mm]