Formeln für die Berechnung von Keilverbindungen in metrischen Einheiten

Übertragenes Drehmoment

Dabei gilt:

 

P

Leistung [kW]

 

n

Drehzahl [U/min]

Berechnung des minimalen Wellendurchmessers

1. Innendurchmesser der Welle d h > 0

a)

b) wenn d min d h -> d min = 1.1 d h [mm]

c) wenn d min 1.5 d h -> d min = 1.5 d h [mm]

2. Innendurchmesser der Welle d h = 0

Dabei gilt:

 

d min

Minimaler Wellendurchmesser [mm]

 

d h

Innendurchmesser der Welle [mm]

 

T

Drehmoment [Nm]

 

K a

Anwendungskoeffizient

 

K f

Gebrauchsermüdungskoeffizient

 

S v

Angestrebte Sicherheit

 

τ A

Zulässige Scherspannung

Allgemeine Berechnung

Bereich der Kraft an der Welle

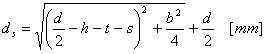
h k = h - h s - 2 s [mm]

Bereich der Kraft an der Nabe

Wellendurchmesser des Bereichs der Kraft

Nabendurchmesser des Bereichs der Kraft

Kraft an der Welle

Kraft an der Nabe

Dabei gilt:

 
 

T

Drehmoment [Nm]

 

F s

Kraft an der Welle [N]

 

F h

Kraft an der Nabe [N]

 

K a

Anwendungskoeffizient

 

K f

Gebrauchsabnutzungskoeffizient

 

K w

Anwendungskoeffizient

 

K m

Koeffizient für Lastverteilung

 

S v

Angestrebte Sicherheit

 

d

Wellendurchmesser [mm]

 

d s

Wellendurchmesser mit Krafteinwirkung F s [mm]

 

d h

Wellendurchmesser mit Krafteinwirkung F d [mm]

 

N

Anzahl der Nuten [-]

 

h

Höhe der Nut

 

h s

Höhe des Kraftpunkts an der Welle [mm]

 

h h

Höhe des Kraftpunkts an der Nabe [mm]

 

b

Nutbreite [mm]

 

t

Nuttiefe in der Welle [mm]

 

s

chamfer

 

p Dmins

Minimal zulässiger Druck (Nut, Welle) [MPa]

 

p Dminh

Minimal zulässiger Druck (Nut, Nabe) [MPa]

Minimale Länge der Feder zum Übertragen des Drehmoments

1. Feste Verbindung:

a)

 

b)

 

L min = min(L mins , L minh )

2. Flexible Verbindung:

a)

 

b)

 

L min = min(L mins , L minh )

Dabei gilt:

 
 

F s

Kraft an der Welle [N]

 

F h

Kraft an der Nabe [N]

 

K a

Anwendungskoeffizient

 

K f

Gebrauchsabnutzungskoeffizient

 

K w

Anwendungskoeffizient

 

K m

Koeffizient für Lastverteilung

 

S v

Angestrebte Sicherheit

 

d

Wellendurchmesser [mm]

 

N

Anzahl der Nuten [-]

 

h s

Höhe des Kraftpunkts an der Welle [mm]

 

h h

Höhe des Kraftpunkts an der Nabe [mm]

 

p Dmins

Minimal zulässiger Druck (Nut, Welle) [MPa]

 

p Dminh

Minimal zulässiger Druck (Nut, Nabe) [MPa]

Minimal zulässiger Druck

1. Feste Verbindung:

a)

 

b)

2. Flexible Verbindung:

a)

 

b)

Dabei gilt:

 
 

F s

Kraft an der Welle [N]

 

F h

Kraft an der Nabe [N]

 

K a

Anwendungskoeffizient

 

K f

Gebrauchsabnutzungskoeffizient

 

K w

Anwendungskoeffizient

 

K m

Koeffizient für Lastverteilung

 

S v

Angestrebte Sicherheit

 

d

Innendurchmesser des Nutquerschnitts [mm]

 

N

Anzahl der Nuten [-]

 

h s

Höhe des Kraftpunkts an der Welle [mm]

 

h h

Höhe des Kraftpunkts an der Nabe [mm]

 

l f

Wirksame Federlänge [mm]

Festigkeitskontrolle

p mins p Ds

p minh p Dh

Dabei gilt:

 

p mins

Minimaler berechneter Schubdruck in der Welle [Mpa]

 

p minh

Minimaler berechneter Schubdruck in der Nabe [Mpa]

 

p Ds

Zulässiger Druck in der Welle [Mpa]

 

p Dh

Zulässiger Druck in der Nabe [Mpa]

Vereinfachte Berechnung

Minimale Länge der Feder zum Übertragen des Drehmoments

1. Feste Verbindung:

2. Flexible Verbindung:

Dabei gilt:

 
 

T

Drehmoment [Nm]

 

K a

Anwendungskoeffizient

 

K f

Gebrauchsabnutzungskoeffizient

 

K w

Anwendungskoeffizient

 

K m

Koeffizient für Lastverteilung

 

S v

Angestrebte Sicherheit

 

d

Wellendurchmesser [mm]

 

N

Anzahl der Nuten [-]

 

h

Höhe der Nut

 

s

chamfer

 

h st

Verbindungshöhe h st = h - 2 s [mm]

 

p Dmin

Zulässiger Druck auf die tragende Fläche von Welle, Nut oder Nabe [MPa]

Zulässiger Druck

1. Feste Verbindung:

2. Flexible Verbindung:

Dabei gilt:

 
 

T

Drehmoment [Nm]

 

K a

Anwendungskoeffizient

 

K f

Gebrauchsabnutzungskoeffizient

 

K w

Anwendungskoeffizient

 

K m

Koeffizient für Lastverteilung

 

S v

Angestrebte Sicherheit

 

d

Wellendurchmesser [mm]

 

N

Anzahl der Nuten [-]

 

h

Höhe der Nut

 

s

chamfer

 

h st

Verbindungshöhe h st = h - 2 s [mm]

 

l f

Wirksame Federlänge [mm]

Festigkeitskontrolle

p min p Ds

p min p Dh

Dabei gilt:

 

p min

Minimaler berechneter Druck h/2 [MPa]

 

p Ds

Zulässiger Druck in der Welle [Mpa]

 

p Dh

Zulässiger Druck in der Nabe [Mpa]