Description: Defines the material property for an orthotropic material for isoparametric solid elements.
Format:
Example:
| Field | Definition | Type | Default | ||||||||||||
|---|---|---|---|---|---|---|---|---|---|---|---|---|---|---|---|
| MID | Material identification number. Referenced on a PSHELL or PCOMP entry only. | Integer > 0 | Required | ||||||||||||
| E1 | Modulus of elasticity in longitudinal direction, also defined as the fiber direction or 1-direction. | Real > 0.0 | Required | ||||||||||||
| E2 | Modulus of elasticity in lateral direction, also defined as the matrix direction or 2-direction. | Real > 0.0 | Required | ||||||||||||
| E3 | Modulus of elasticity in thickness direction, also defined as the matrix direction or 3-direction. | Real > 0.0 | Required | ||||||||||||
| NU12 | Poisson's ratio ( for uniaxial loading in 1-direction). Note that
for uniaxial loading in 2-direction is related to
, E 1, and E 2 by the relation
. See Remark 3.
|
Real | Required | ||||||||||||
| NU23 | Poisson's ratio ( for uniaxial loading in 2-direction). Note that
for uniaxial loading in 3-direction is related to
, E 2, and E 3 by the relation
. See Remark 3.
|
Real | Required | ||||||||||||
| NU31 | Poisson's ratio ( for uniaxial loading in 3-direction). Note that
for uniaxial loading in 1-direction is related to
, E 1, and E 3 by the relation
. See Remark 3.
|
Real | Required | ||||||||||||
| RHO | Mass density. | Real or blank | 0.0 | ||||||||||||
| G12 | Shear modulus in plane 1-2. | Real > 0.0 | Required | ||||||||||||
| G23 | Shear modulus in plane 2-3. | Real > 0.0 | Required | ||||||||||||
| G31 | Shear modulus in plane 3-1. | Real > 0.0 | Required | ||||||||||||
| Ai | Thermal expansion coefficient in i-direction. | Real or blank | 0.0 | ||||||||||||
| TREF | Reference temperature for the calculation of thermal loads. | Real or blank | 0.0 | ||||||||||||
| GE | Structural element damping coefficient. See Remarks 9, 10, and 12. | Real or blank | 0.0 | ||||||||||||
| FT | Composite failure theory. The following theories are allowed:
|
Character or blank | |||||||||||||
| NB | Allowable inter-laminar normal stress of the composite laminate bonding material (allowable interlaminar normal stress). See Remark 14. | Real ≥ 0.0 or blank | See Remark 14 | ||||||||||||
| Xt, Xc | Allowable stresses or strains in tension and compression, respectively, in the longitudinal direction. Required if composite element failure index is desired. | Real ≥ 0.0 or blank | Default value for Xc is Xt | ||||||||||||
| Yt, Yc | Allowable stresses or strains in tension and compression, respectively, in the lateral direction. Required if composite element failure index is desired. | Real ≥ 0.0 or blank | Default value for Yc is Yt | ||||||||||||
| Zt, Zc | Allowable stresses or strains in tension and compression, respectively, in the thickness direction. Required if composite element failure index is desired. | Real ≥ 0.0 or blank | Default value for Zc is Zt | ||||||||||||
| S12 | Allowable shear stress or strain for plane 1-2. | Real ≥ 0.0 or blank | 0.0 | ||||||||||||
| S23 | Allowable shear stress or strain for plane 2-3. | Real ≥ 0.0 or blank | 0.0 | ||||||||||||
| S31 | Allowable shear stress or strain for plane 3-1. | Real ≥ 0.0 or blank | 0.0 | ||||||||||||
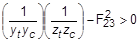
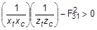
| F12 | Interaction term in the tensor polynomial theory of Tsai-Wu. Required if composite element failure index by Tsai-Wu theory is desired and if value of F12 is different from 0.0. See Remark 13. | Real | 0.0 | ||||||||||||
| F23 | Interaction term in the tensor polynomial theory of Tsai-Wu. Required if composite element failure index by Tsai-Wu theory is desired and if value of F23 is different from 0.0. | Real | 0.0 | ||||||||||||
| F31 | Interaction term in the tensor polynomial theory of Tsai-Wu. Required if composite element failure index by Tsai-Wu theory is desired and if value of F31 is different from 0.0. | Real | 0.0 | ||||||||||||
| SB | Allowable inter-laminar shear stress of the composite laminate bonding material (allowable interlaminar shear stress). See Remark 15. | Real ≥ 0.0 or blank | See Remark 15 | ||||||||||||
| E1RSF | Longitudinal (1-direction) modulus of elasticity reduction scale factor for nonlinear composite Progressive Ply Failure Analysis (PPFA). See Remark 16. | 0.0 ≤ Real ≤ 1.0 | 1.0 | ||||||||||||
| E2RSF | Lateral (2-direction) modulus of elasticity reduction scale factor for nonlinear composite Progressive Ply Failure Analysis (PPFA). See Remark 16. | 0.0 ≤ Real ≤ 1.0 | 1.0 | ||||||||||||
| E3RSF | Through thickness (3-direction) modulus of elasticity reduction scale factor for nonlinear composite Progressive Ply Failure Analysis (PPFA). See Remark 16. | 0.0 ≤ Real ≤ 1.0 | 1.0 | ||||||||||||
| G12RSF | Plane 1-2 shear modulus reduction scale factor for nonlinear composite Progressive Ply Failure Analysis (PPFA). See Remark 16. | 0.0 ≤ Real ≤ 1.0 | 1.0 | ||||||||||||
| G23RSF | Plane 2-3 shear modulus reduction scale factor for nonlinear composite Progressive Ply Failure Analysis (PPFA). See Remark 16. | 0.0 ≤ Real ≤ 1.0 | G12RSF | ||||||||||||
| G31RSF | Plane 3-1 shear modulus reduction scale factor for nonlinear composite Progressive Ply Failure Analysis (PPFA). See Remark 16. | 0.0 ≤ Real ≤ 1.0 | G12RSF | ||||||||||||
| TE1RSF | Identification number of a TABLES1 or TABLEST entry which defines the stress-strain relationship in the longitudinal direction for nonlinear composite Progressive Ply Failure Analysis (PPFA). | Integer ≥ 0 or blank | |||||||||||||
| TE2RSF | Identification number of a TABLES1 or TABLEST entry which defines the stress-strain relationship in the lateral direction for nonlinear composite Progressive Ply Failure Analysis (PPFA). | Integer ≥ 0 or blank | |||||||||||||
| TE3RSF | Identification number of a TABLES1 or TABLEST entry which defines the stress-strain relationship in the thickness direction for nonlinear composite Progressive Ply Failure Analysis (PPFA). | Integer ≥ 0 or blank | |||||||||||||
| TG12RSF | Identification number of a TABLES1 or TABLEST entry which defines the stress-strain relationship in the 1-2 plane for nonlinear composite Progressive Ply Failure Analysis (PPFA). | Integer ≥ 0 or blank | |||||||||||||
| TG23RSF | Identification number of a TABLES1 or TABLEST entry which defines the stress-strain relationship in the 2-3 plane for nonlinear composite Progressive Ply Failure Analysis (PPFA). | Integer ≥ 0 or blank | TG12RSF | ||||||||||||
| TG31RSF | Identification number of a TABLES1 or TABLEST entry which defines the stress-strain relationship in the 3-1 plane for nonlinear composite Progressive Ply Failure Analysis (PPFA). | Integer ≥ 0 or blank | TG12RSF |
Remarks:
If either condition is not met, a warning message will be issued.
with
and
There are five independent material constants for normal anisotropy (i.e.,
,
,
,
, and
). In case the material has a planar anisotropy, in which the material is orthotropic only in a plane, the elastic constants are reduced to seven (i.e.,
,
,
,
,
,
, and
).
creates complications in the use of this theory. For this reason it is recommended that F12, F23, and F31 be set to zero
| Variable | Recommended Value |
|---|---|
| E1RSF | 0.04 |
| E2RSF | 0.04 |
| E3RSF | 0.04 |
| G12RSF | 0.20 |
| G23RSF | 0.20 |
| G31RSF | 0.20 |