Das Hinzufügen von Verkabelung zu Ihrem Projekt ist optional. Sie können Stromkreise ohne Verkabelung erstellen. Revit speichert die mit dem Stromkreis verbundenen Informationen.
Für die Erstellung einer dauerhaften Verkabelung haben Sie zwei Möglichkeiten:
Gruppe In Drahtmodell konvertieren verwenden. Nachdem eine dauerhafte Verkabelung erstellt wurde, bleibt diese in der Ansicht sichtbar, wenn der Stromkreis nicht ausgewählt ist.
Gruppe Elektro erstellen. Sie können in den Stromkreiseigenschaften den in einem Stromkreis verwendeten Kabeltyp angeben. Weitere Informationen erhalten Sie unter Stromkreiseigenschaften.
Umwandeln eines temporären Stromkreises in eine dauerhafte Verkabelung
Auswählen des Kabeltyps für den Stromkreis
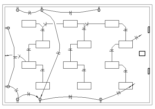
Bogenartige Verkabelung wird häufig zur Darstellung von verdeckten Verkabelungen in Wänden, Decken und Geschossdecken verwendet.
Geschrägte Verkabelung wird häufig zur Darstellung exponierter Verkabelung verwendet.
Im folgenden Beispiel werden die Anschlussbuchsen über eine bogenartige Verkabelung und die Leuchten über geschrägte Verkabelung verbunden.
