SST-k-Omega-Turbulenzmodelle

Das SST-k-Omega-Turbulenzmodell ist ein Modell für Wirbelviskosität mit zwei Gleichungen, das für viele aerodynamische Anwendungen verwendet wird. Es ist ein Hybridmodell, in dem das k-Omega-Modell von Wilcox und das k-Epsilon-Modell miteinander kombiniert werden. Eine Verschmelzungsfunktion, F1, aktiviert das Wilcox-Modell in der Nähe der Wand und das k-Epsilon-Modell in der freien Strömung. Dadurch wird sichergestellt, dass das geeignete Modell im gesamten Strömungsfeld verwendet wird:

Gleichungen zur Beeinflussung des SST-k-Omega-Werts

Kinetische Energie Turbulenz

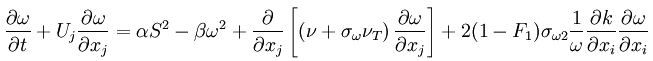
Spezifische Verlustrate

F1 (Verschmelzungsfunktion)

Anmerkung: F1 = 1 in der Grenzschicht und 0 in der freien Strömung.

CDkw

Kinematische turbulente Viskosität (Eddy)

F2 (zweite Verschmelzungsfunktion)

P K(Produktionsbegrenzer)

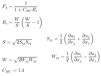
SST K-Omega-RC Modelle

In der Drehungs-/Krümmungsform nach Smirnov-Mentor des SST-Modells wird der Produktionsterm "P" multipliziert mit der Funktion:

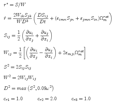
wobei:

Die restlichen Funktionen sind wie folgt definiert:

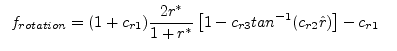
In der vereinfachten Drehungs-/Krümmungsform nach Hellsten des SST-Modells wird der Zerstörungsterm mit der folgenden Funktion multipliziert:

wobei:

Weitere Anmerkungen zu SST-k-Omega

  1. Die SST-Modelle sind weniger empfindlich gegen freie Strömungsbedingungen (Strömung außerhalb der Grenzschicht) als viele andere Turbulenzmodelle.
  2. Der Scherspannungs-Begrenzer vermeidet, dass das k-Omega-Modell eine zu hohe turbulente kinetische Energie in der Nähe von Stagnationspunkten erzeugt.
  3. Die SST-Modelle bieten eine Plattform für zusätzliche Erweiterungen wie SAS und der laminar-turbulente Übergang.

Erweiterte Parameter

Das Dialogfeld "Erweiterte Turbulenzparameter" enthält weitere Optionen für das k-Omega-Modell:

Intelligente Wandformulierung

Die intelligente Wandformulierung reduziert die Empfindlichkeit der Ergebnisse auf das Niveau der Netzverfeinerung entlang der Wand. Sie ist vorgabemäßig für SST-k-Omega aktiviert.

Fernfeld TKE und Fernfeld Omega

Diese Begriffe definieren die Randbedingungswerte für die Turbulenzintensität und Omega.

Beachten Sie, dass L der ungefähren Domänenlänge entspricht.

Die resultierende turbulente Viskosität der freien Strömung (aus der Kombination dieser beiden Werte) muss zwischen 10-5- und 10-2-mal der laminaren Viskosität der freien Strömung entsprechen.

Quellen

http://www.cfd-online.com/Wiki/SST_k-omega_model

http://turbmodels.larc.nasa.gov/sst.html