Joule-Erwärmung

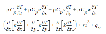
Für den Fall, bei dem ohmsche oder Joule-Erwärmung berücksichtigt werden soll, gilt die folgende Energiegleichung für inkompressible Strömung:

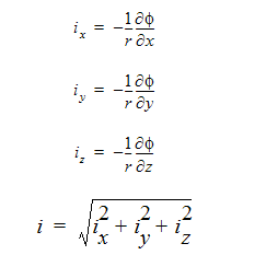
wobei i die Größe der aktuellen Dichte und r der elektrische Widerstand (eine Materialeigenschaft) ist. Mit dieser Gleichung muss auch eine Gleichung zur Bestimmung des elektrischen Stroms in dem ohmschen Term ri2 gelöst werden. Wir verwenden die elektrische Potenzialgleichung:

wobei das elektrische Potenzial ist und der Strom berechnet wird mit:

Die Variablen in diesen Gleichungen werden in der folgenden Tabelle definiert:

Variable Beschreibung (Beispieleinheiten, SI-System)
Cp Konstanter Druck spezifische Wärme (J/kg-K)
i Elektrische Stromdichte (A/m2)
k Wärmeleitfähigkeit (W/m-K)
qv Volumetrische Wärmequelle (W/m3)
r Elektrischer Widerstand (Ohm-m)
T Temperatur (K)
t Zeit (s)
u Geschwindigkeit in X-Richtung (m/s)
v Geschwindigkeit in Y-Richtung (m/s)
w Geschwindigkeit in Z-Richtung (m/s)
Dichte (kg/m3)
Elektrisches Potenzial (Spannung)

Die Randbedingungen für die Energiegleichung umfassen die üblichen Angaben: Temperatur, Wärmeübergangskoeffizient, Wärmestrom oder Wärmestrahlung in einer externen Quelle. Die Randbedingungen für die elektrische Potenzialgleichung enthalten eine angegebene Spannung oder einen angegebenen elektrischen Strom.

Anmerkung: Der elektrische Widerstand muss für alle Materialien im Autodesk® CFD-Analysemodell angegeben werden.