Kühlkörper

Weitere Informationen zu den Kühlkörpermaterialkorrelationen und den zugrunde liegenden Gleichungen finden Sie hier.

Mikro-Kanal

Gesamt-Wärmewiderstand:

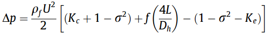
Druckabfall:

Verdichtungs- und Ausdehnungskoeffizienten:

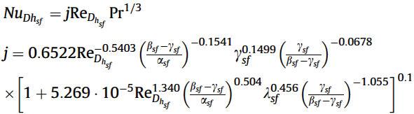
Nusseltzahl:

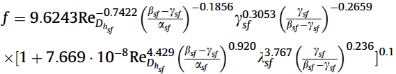
Reibungsfaktorkorrelation:

Die Korrelationen für Mikrokanalkonfigurationen unterliegen geometrischen Bedingungen und Betriebsbedingungen:

Pin-Fin

Gesamt-Wärmewiderstand:

Druckabfall:

Verdichtungs- und Ausdehnungskoeffizienten:

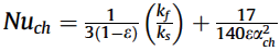
Nusseltzahl:

Reibungsfaktorkorrelation für Inline:

Reibungsfaktorkorrelation für Versetzt:

Die Korrelationen für die Pin-Fin-Konfigurationen unterliegen geometrischen Bedingungen und Betriebsbedingungen:

Streifen-Versatz

Gesamt-Wärmewiderstand:

Druckabfall:

Verdichtungs- und Ausdehnungskoeffizienten:

Nusseltzahl:

Reibungsfaktorkorrelation:

Die Korrelationen für die Streifen-Versatz-Konfigurationen gelten für alle Gase und die meisten Fluide mit moderatem Pr-Wert.

Variablen und Nomenklatur

Die folgenden allgemeinen Variablen werden in den Kühlkörperkorrelationen verwendet:

Nomenklatur

a ist die Streifen-Versatz-Rippenlänge (m).

b ist die Streifen-Versatz-Rippenstärke (m).

cpf ist die spezifische Wärme (J/kg K).

d ist der Durchmesser (m).

Dh ist der hydraulische Durchmesser (m).

f ist der Reibungsfaktor.

H ist die Rippenhöhe (m).

K ist die Wärmeleitfähigkeit (W/m K).

Kc ist der Koeffizient für abruptes Zusammenziehen.

Ke ist der Koeffizient der abrupte Ausdehnung.

L ist die Länge des Kühlkörpers in Fließrichtung, Länge des Erwärmungsbereichs (m).

Lc ist die charakteristische Länge (m).

N ist die Anzahl der Rippen.

NT ist die Anzahl der Rippen in seitlicher Richtung.

NL ist die Anzahl der Rippen in Fließrichtung.

Nuch ist die Nusseltzahl basierend auf der Kanalbreite und -höhe.

Nud ist die Nusseltzahl basierend auf dem Durchmesser d.

NuDh ist die Nusseltzahl basierend auf dem hydraulischen Durchmesser Dh

NuL ist die Nusseltzahl basierend auf der Länge L.

P ist die Leistung (W).

Pr ist die Prandtl-Zahl.

R ist der thermische Widerstand (K/W).

Red ist die Reynolds-Zahl basierend auf dem Durchmesser d.

ReDh ist die Reynolds-Zahl basierend auf dem hydraulischen Durchmesser Dh.

ReL ist die Reynolds-Zahl basierend auf der Länge L.

ST ist der Abstand zwischen kreisförmiger Pin-Fin und seitlicher Rippe (m).

SL ist der Abstand zwischen kreisförmiger Pin-Fin und Strömungsrippe (m).

s ist der Abstand zwischen Streifen-Versatz-Rippe und seitlicher Rippe (m).

t ist die Basisdicke (m).

U ist die Geschwindigkeit (m/s).

wch ist die Mikrokanalbreite (m).

ww ist die Mikrokanalrippenstärke (m).

W ist die Breite des Kühlkörpers (m).

Griechische Symbole

α ist das Verhältnis von Rippenhöhe zu rippencharakteristischer Länge Lc.

β ist das Verhältnis von seitlichem Rippenabstand zu rippencharakteristischer Länge Lc.

Δp ist der Druckabfall (Pa).

ε ist die Porosität, definiert als wch/(wch + ww).

ν f ist die Rippeneffizienz.

ν o ist die Gesamtkühlkörpereffizienz.

γ sf ist das Verhältnis von Streifen-Versatz-Rippenbreite zu Rippenlänge, definiert als b/a.

λ cp ist die Strömungssteigung, definiert als SL/dcp.

μ ist die Viskosität (kg/m s).

ρ ist die Dichte (kg/m3).

σ ist das Stirnflächenverhältnis der Einheit.

Tiefgestellte Zeichen

ch steht für Kanal.

cp steht für kreisförmige Pin-Fin.

f steht für Fluid.

s steht für Volumenkörper.

sf steht für Streifen-Versatz-Rippe.

tot steht für Gesamt.

Verweis

Weitere Informationen, einschließlich der Optimierung und Vergleichsstudien finden Sie im International Journal of Heat and Mass Transfer. (20. Mai 2009). Multi-objective thermal design optimization and comparative analysis of electronics cooling technologies. (Veröffentlichung 52 (2009) 4317-4326). Sidy Ndao, Yaov Peles, Michael K. Jensen.