Reibungsfaktor

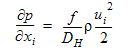
Die Reibungsfaktormethode kann zur Simulation eines langen Rohrstücks verwendet werden. Bei dieser Methode wird der Überdruckabfall folgendermaßen formuliert:

wobei f der Reibungsfaktor und DH der hydraulische Durchmesser ist.

Anmerkung: Der hydraulische Durchmesser und die simulierte Rohrlänge sind für beide Methoden erforderliche Eigenschaften.

Methode 1: Moody

Die Moody-Formel wird zur Berechnung des Reibungsfaktors verwendet. Geben Sie die Behinderungsrauheitshöhe in den korrekten Längeneinheiten ein.

Methode 2:

Der Reibungsfaktor wird ermittelt aus: . Die Reynoldszahl basiert auf dem hydraulischen Durchmesser des Rohrs. Geben Sie die Koeffizienten a und b ein.

Anmerkung: Der Reibungsfaktor ist dimensionslos, aber der hydraulische Durchmesser sollte in den korrekten Längeneinheiten eingegeben werden.