Haben Sie jemals eine vollständige Simulation durchgeführt, nur um dann festzustellen, dass Ihre Anwendung nicht die gewünschten Ergebnisse liefert? Mit Autodesk® CFD können Sie Ihre eigenen benutzerdefinierten Ergebnisgrößen einrichten, um andere als die CFD-Standardergebnisse zu analysieren und visualisieren. Mithilfe selbst erstellter Größen können Sie anpassen, wie Sie Ihre Simulationsergebnisse analysieren und präsentieren.
Klicken Sie auf Einrichtung
Simulation
Benutzerdefinierte Ergebnisgrößen, um das Dialogfeld zu öffnen.

Sie können das Dialogfeld auch bei der Arbeit mit Ergebnissen öffnen. Klicken Sie auf Ergebnisse
Global
Benutzerdefinierte Ergebnisgrößen.

Im Dialogfeld Benutzerdefinierte Ergebnisgrößen können Sie Größen hinzufügen, bearbeiten und entfernen. Verwenden Sie die verschiedenen Funktionen, Variablen und Operatoren, um für Ihre Analyse geeignete Gleichungen zu erstellen.
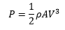
Angenommen, Sie modellieren eine Windmühle mit einem Flügelradius von 0,75 m. Sie möchten eine Größe erstellen, die die theoretische Windkraft nachverfolgt, die der Windmühle zur Verfügung steht. Theoretisch kann diese Windkraft folgendermaßen ausgedrückt werden:

Hierbei ist P die Leistung (W), ρ die Luftdichte (kg/m3), A die Fläche (m2) des durch die Flügelrotation gebildeten Kreises und V die Windgeschwindigkeit (m/s).
Sie haben die Werte in das Dialogfeld Benutzerdefinierte Ergebnisgrößen eingegeben, wie in der folgenden Abbildung gezeigt.

Einige Hinweise zum Dialogfeld:

