Strömung in einem Vakuum (Niederdruckgrenzwert)

Autodesk® CFD bietet eine numerische Lösung von Navier-Stokes-Gleichtungen (N-S). Bei N-S-Gleichungen wird davon ausgegangen, dass das Fluid als ein Kontinuum behandelt werden kann. In einigen Vakuumströmungen oder bei sehr niedrigem Fließdruck ist die Strömung kein Kontinuum mehr, und die individuellen Fluidmoleküle müssen berücksichtigt werden. Diese Annahme wird ungenau, sobald die charakteristische Länge des Fluidpfads das Zehnfache der mittleren freien Weglänge des Fluids unterschreitet.

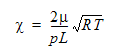
Wir können die mittlere freie Weglänge beschreiben, indem wir , einen dimensionslosen Wert, der wie folgt definiert wird, verwenden:

Die Symbole werden definiert:

Symbol Beschreibung
Dimensionslose Vakuumzahl
Absolute Viskosität bei STP
P Statischer Druck
L Charakteristische Länge (Hydraulischer Durchmesser)
R Gaskonstante
T Temperatur

Die folgende Tabelle zeigt den Bereich an, für den Navier-Stokes-Gleichungen auf die Strömung angewendet werden können:

Bereich Strömungsbeschreibung
< 0.014 Die Strömung ist ein Kontinuum und wird von Navier-Stokes-Gleichungen bestimmt
0.014 < <1.0 Die Strömung ist eine Gleitströmung, wenn sie entlang der Flächen gleitet, kann aber immer noch durch Navier-Stokes-Gleichungen angenähert werden.
>1.0 Die Strömung ist kein Kontinuum mehr und kann nicht mit Navier-Stokes-Gleichungen dargestellt werden.
Anmerkung: Es gibt nur wenige tatsächliche Vakua in industriellen Anwendungen. Die tatsächlichen Anforderungen (hinsichtlich der Verdichterpumpe und Dichtungen) zur Erstellung einer Strömungsumgebung sind äußerst anspruchsvoll und für die meisten industriellen Anwendungen einfach nicht praktikabel. Aus diesem Grund empfehlen wir, die Situation sorgfältig zu bewerten, um zu verstehen, ob tatsächlich ein Vakuum vorhanden oder eine Annäherung ausreichend ist.