Das Neo-Hook'sche Materialmodell ist ein hyperelastisches Materialmodell und ist für 2D-, Brick- und Tetraederelemente verfügbar. Die Materialeigenschaften sind unten aufgeführt.
Klicken Sie auf die Schaltfläche Kurvenanpassung im Dialogfeld Elementenmaterial angeben, um die Kurve einpassen-Routine zu verwenden. Diese Routine berechnet die Materialkonstanten mit gemessenen Spannungs-/Dehnungsdaten.
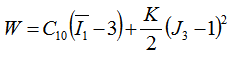
Die potenzielle Funktion des Neo-Hook'schen Materials ist wie folgt:
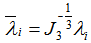
Dabei gilt:
, die erste Invariante der deviatorischen Dehnung
, die deviatorischen Streckungen
, die Hauptstreckungen
steht für das Gesamtvolumenverhältnis. Anmerkungen: