Balkenvorspannung

Anmerkung: Dieser Abschnitt gilt für alle linearen und nichtlinearen Analysen, die Balkenvorspannung unterstützen.

Mit Balkenvorspannung wird eine axiale Last über die Länge eines Balkenelements angewendet. Dies ist hilfreich beim Simulieren von Verbindungselementen, Drahtseilen und anderen internen Lasten des Modells oder Bauteils (im Gegensatz zu einer externen Last wie einer Knotenkraft). Im Gegensatz zu externen Lasten, die während der gesamten Analyse konstant bleiben, ist die Vorspannkraft die Größe im Element, wenn der Rest der Struktur unendlich steif wäre. Da die Struktur nicht unendlich steif ist, besteht ein Ergebnis der Vorspannung darin, dass sich die Struktur verbiegt und einen Teil der Vorspannung freistellt. Weitere Informationen finden Sie unter Praktische Überlegungen unten.

Anwenden von Vorspannungslasten

In linearen Analysen sind Balkenvorspannungen nur für statische Spannung verfügbar. Sie sind nicht verfügbar für Eigenfrequenz (Modal) mit Lastersteifung oder Kritische Knicklast.

Bei nichtlinearen Analysen stehen Balkenvorspannungen für MES und Statische Spannung mit nichtlinearen Materialmodellen zur Verfügung. Es ist auch möglich, eine Balkenvorspannung in einer Eigenfrequenzanalyse (Modal) mit nichtlinearen Materialmodellen anzuwenden. Die Ergebnisse werden davon jedoch nicht beeinflusst, da diese Analyseart keine Lastversteifungseffekte berücksichtigt. Balkenvorspannungen sind für eine MES Riks-Analyse nicht verfügbar.

  1. Definieren Sie den Elementtyp für die Bauteile, die Balken-Elemente sein sollen.
  2. Wählen Sie ein oder mehrere Balkenelemente mit dem Befehl Auswahl Auswählen Linien aus.
  3. Klicken Sie mit der rechten Maustaste in den Anzeigebereich, wählen Sie das Pullout-Menü Hinzufügen, und wählen Sie den Befehl Balken mit Vorspannung, um jedem Balkenelement eine Vorspannungslast hinzuzufügen.
  4. Geben Sie die Größe der Vorspannung in das Feld Axialkraft ein. Ein positiver Wert gibt an, dass das Element zunächst unter Spannung steht, sodass die Analyse die Balkenenden zusammenzieht. Ein negativer Wert gibt an, dass das Element zunächst unter Druck steht, sodass die Analyse die Balkenenden auseinander bewegt.
  5. Ein Balkenelement mit Vorspannung hat das Symbol B auf dem Liniensegment. Um die Vorspannung zu ändern, wählen Sie entweder den Vorspannungseintrag in der Verzweigung FEM Objektgruppen in der Strukturansicht oder das Symbol B im Anzeigebereich im Linienauswahlmodus (Auswahl Auswählen Linien).
Anmerkung:
  • Alternativ zum Befehl im Kontextmenü können Sie auch auf den Befehl Balkenvorspannung im Bereich Balkenlasten der Registerkarte Setup in der Multifunktionsleiste klicken.
  • Die Anfangsdehnung wird als Null angenommen. Daher scheint die berechnete Dehnung nicht mit der berechneten Spannung übereinzustimmen, es sei denn, Sie berücksichtigen die Vordehnung.
  • Bei linearen Analysen wird die Vorspannung auf alle Lastfälle in der Analyse angewendet. Sie ist nicht von Lastmultiplikatoren betroffen.
  • Für Kunststoffmaterialmodelle in einer nichtlinearen Analyse wird die Vordehnung berechnet, damit der Effekt in die Dehnungsergebnisse einbezogen wird.

Praktische Überlegungen

Wie oben angegeben, wird ein Teil der Vorspannung, die auf das Balkenelement angewendet ist, in der Analyse entlastet, da die Objekte als Reaktion auf die Last komprimiert werden. Wenn die angegebene Vorspannung die endgültige Last sein soll, wie z. B. die Vorspannung in einer Schraube aufgrund des Anziehens mit einem Drehmomentschlüssel, dann muss die angewendete Balkenvorspannung erhöht werden, um die Komprimierung der Bauteile auszugleichen. Wenn die Steifigkeit der Objekte und die endgültige Last bekannt wären, könnte die Anfangsvorspannung, die auf die Balkenelemente angewendet werden soll, wie folgt berechnet werden:

Stellen Sie sich einen Balken vor (dargestellt durch die rote Feder K b ), die gestreckt wird, um eine Vorspannung mit dem Betrag P zu erzeugen, und dann an die Objekte angefügt wird (dargestellt durch die blaue Feder K m ). Der Balken und das Objekt komprimieren anschließend einen Betrag Δ. Da der Balken gestreckt wurde, bevor er angefügt und das Objekt komprimiert wurde, entspricht die endgültige Last F' im Balken der Vorspannung abzüglich der Steifigkeit multipliziert mit der Kompression. Die gleiche (aber entgegengesetzte) Last im Objekt entspricht der Steifigkeit multipliziert mit der Kompression. Es gibt also zwei Gleichungen und zwei Unbekannte (F' und Δ).

Endgültige Last im Balken F' = P - KbΔ

Endgültige Last im Objekt F' = KmΔ

Die Lösung dieser beiden Gleichungen für die endgültige Last F' ergibt

F' = P[Km/(K m +Kb)]

Wobei Kb die Steifigkeit des Balkens, Km die Steifigkeit des Objekts und P die auf den Balken angewendete Vorspannung ist.

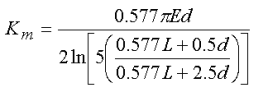
Für eine Schraubenverbindung gibt es viele Formeln zur Berechnung der Steifigkeit der Objekte, abhängig von den Annahmen zur Druckverteilung unter der Schraube. Eine solche Formel lautet wie folgt und berücksichtigt einen Öffnungswinkel von 30 Grad für die Druckverteilung und eine Unterlegscheibe mit einem Durchmesser vom 1,5-fachen des Schraubendurchmessers:

Wobei L die Gesamtdicke der Schraubenverbindungsobjekte und d der Durchmesser von Schraube und Bohrung ist. (Referenz: Budynas, Richard G und Nisbett, J. Keith, Shigley's Mechanical Engineering Design, McGraw-Hill, Inc, Eighth Edition)

Interessant für dieses Thema ist das Verhältnis P/F'. In vielen Fällen ist die bekannte Vorspannung die endgültige Last in der Schraube und dem Objekt (F'), sodass die oben angegebenen Formeln verwendet werden können, um die Vorspannung P zu berechnen, die auf die Balkenelemente angewendet wird. Die folgende Tabelle enthält verschiedene Ergebnisse. Wenn z. B. L/d gleich 2 ist, ist die Vorspannung, die auf Balkenelemente angewendet werden soll, 1,35 multipliziert mit der endgültigen Vorspannung in der Schraube und dem Objekt. (Da jede Konstruktion anders ist, sind die obige Gleichung für Km und die Tabelle nur eine Darstellung der Methode.)

Länge/Schraubendurchmesser

L/d

Vorspannung/endgültige Last

P/F'

0.50 1.60
1.00 1.48
2.00 1.35
3.00 1.28
4.00 1.23
6.00 1.17
10.0 1.12

Anmerkungen:

1/Keqv = 1/K1 + 1/K2 + 1/K3.

Ähnliche Methoden können verwendet werden, wenn Sie eine Temperatur verwenden, um eine Vorspannung auf ein Teil des Modells anzuwenden.