Christensen Criterion

The Christensen criterion [17] utilizes the following six fundamental strengths of the composite material to identify two different failure modes.

The two failure modes are: matrix failure and fiber failure.

= Value of σ11 at longitudinal tensile failure

= Value of σ11 at longitudinal compressive failure

= Value of σ22 at transverse tensile failure

= Value of σ22 at transverse compressive failure

= Absolute value of σ12 at longitudinal shear failure

= Absolute value of σ23 at transverse shear failure

The matrix failure criterion is

where the transverse shear strength S23 is required to satisfy

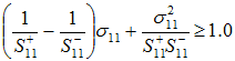
The fiber failure criterion is