Element Deletion

Elements can be removed during an analysis by turning on the element deletion feature. Element deletion is controlled with the HIN file.

When an element is deleted, all of the stresses in the element are set to zero and the element no longer has any energetic contribution to the simulation. Elements with multiple integration points are not deleted until each integration point is flagged for deletion. Until the element is deleted, all integration points have a non-zero stiffness and continue to contribute to the overall strain energy of the model, regardless of their individual deletion status.

Three steps are required to turn on element deletion:

  1. Modify the *DEPVAR keyword in the input file
  2. Request output of the STATUS variable
  3. Specify the element deletion criteria in the HIN file

Modify *DEPVAR

Composite Materials

For composite materials the *DEPVAR keyword in the input file must have the DELETE parameter with a value of 1. For example:

*DEPVAR, DELETE=1
8

The DELETE=1 parameter can be added using Abaqus/CAE or by manually editing the input file with a text editor. With Abaqus/CAE:

  1. Switch to the Property module
  2. Click Material > Edit > NameOfMaterial
  3. Select Depvar from the list of Material Behaviors
  4. Set the Variable number controlling element deletion to 1
  5. Click OK

Cohesive Materials (only supported in Abaqus 2016 or later)

For cohesive materials the *DEPVAR keyword in the input file must have the DELETE parameter with a value of 10. For example:

*DEPVAR, DELETE=10
10

As shown above, the DELETE=10 parameter can be added using Abaqus/CAE or by manually editing the input file with a text editor.

Note: Element deletion of cohesive elements is controlled entirely by the *DEPVAR keyword. The cohesive element is flagged for deletion when damage is fully accumulated (SDV6 = 1). There is no HIN file keyword required for cohesive element deletion.

Request Output

The STATUS variable must be included in the list of element outputs. For example:

*OUTPUT, FIELD
*ELEMENTOUTPUT
SDV, STATUS

The STATUS variable can be added to the output requests with Abaqus/CAE or by manually editing the input file with a text editor. With Abaqus/CAE:

  1. Click Output > Field Output Requests > Manager
  2. Click Edit
  3. Select STATUS from the list of output variables
  4. Click OK

Note: If this step is omitted, element deletion will still work properly. However, Abaqus/Viewer will not remove the deleted elements from the visualization.

HIN File

The *ELEMENT DELETION keyword in the HIN file is used to control the deletion criteria. The *ELEMENT DELETION criteria takes on the following form:

*ELEMENT DELTION, TYPE=type, CRIT=crit

where the TYPE and CRIT parameters are required inputs. The *ELEMENT DELETION keyword must reside beneath the *MATERIAL keyword in the HIN file.

Unidirectional Materials

For unidirectional composites, the following combinations of TYPE and CRIT are available:

*ELEMENT DELETION, TYPE=MATRIX, CRIT=RELOAD
Max_Ratio

*ELEMENT DELETION, TYPE=MATRIX, CRIT=SPLIT
theta

*ELEMENT DELETION, TYPE=FIBER, CRIT=ANY

For TYPE=MATRIX, there are two available criterion, RELOAD and SPLIT.

TYPE=MATRIX, CRIT=RELOAD

The RELOAD criterion deletes the element if the stress levels in the element reach a certain magnitude after the matrix has failed. Once the matrix has failed, σvmt, the von mises stress contribution from the σ22, σ33, σ12, σ13, and σ23 terms is compared to σvm, the full von mises stress (including σ11). If the ratio of σvmt to σvm exceeds a user specified value, the element is flagged for deletion.

The RELOAD criterion is evaluating the level of the stress tensor in the non-fiber dominated directions. After matrix failure, we want the stiffness in these directions to remain as low as possible (because the matrix is cracked). However, in some cases the stresses can reload due to large strains. The RELOAD criterion can eliminate elements with this behavior so they don't offer significant energetic contributions to the analysis where it is not reasonable.

When using CRIT=RELOAD, you must specify the maximum ratio of σvmt to σvm allowable. This is specified on the first data line following the *ELEMENT DELETION keyword. For example:

*ELEMENT DELETION, TYPE=MATRIX, CRIT=RELOAD
0.2

In this example, if σvmt meets or exceeds 20% of the full von mises stress, σvm, the element will be deleted.

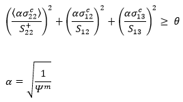
TYPE=MATRIX, CRIT=SPLIT

For TYPE=MATRIX, CRIT=SPLIT, matrix splitting is evaluated after the initiation of matrix failure. Once matrix failure is triggered, if matrix splitting is identified, the element is flagged for deletion. Splitting is determined with the following criteria:

where α is a scale factor computed using the unidirectional matrix failure criterion, Ψm . θ represents a user-defined threshold that controls when element deletion is triggered. The default value of θ is 0.75. θ must lie in the range 0 < θ ≤ 1. Notice that only the σ22c, σ12c, and σ13c components of the composite stress are used in the evaluation of splitting. These are the stress components that contribute to longitudinal splitting in the matrix. The Macaulay brackets around the σ22c quantity ensure that σ22c only contributes to the evaluation of matrix splitting when the stress is tensile.

Consider the following example, in which an element should be deleted if splitting is identified with the threshold θ = 0.80.

*MATERIAL, NAME=IM7_8552
*ELEMENT DELETION, TYPE=MATRIX, CRIT=SPLIT
0.8

TYPE=FIBER, CRIT=ANY

For TYPE=FIBER, the only available criterion is ANY. The ANY criterion indicates that any fiber failure will automatically trigger deletion of the element. There are no data lines for this criterion.

Important considerations for Instantaneous Degradation vs. Energy Based Degradation

Element deletion operates differently depending on the degradation scheme employed. When using instantaneous degradation, the element deletion criteria are monitored as soon as failure initiates. When using energy based degradation, the element deletion criteria are not monitored until the fracture energy is fully dissipated.

Woven Materials

For woven composites, the following combinations of TYPE and CRIT are available:

*ELEMENT DELETION, TYPE=FIBER, CRIT=ANY

*ELEMENT DELETION, TYPE=FIBER, CRIT=BOTH

*ELEMENT DELETION, TYPE=FIBER, CRIT=RELOAD

There is no matrix failure based element deletion criteria available for woven composites.

For CRIT=ANY, an element is triggered for deletion if the fiber fails in either tow.

For CRIT=BOTH, an element is triggered for deletion if the fiber fails in both tows.

For CRIT=RELOAD, stresses in the tow direction are monitored following a fiber failure. The normal stress in the failed tow direction, σn, is compared to the ultimate tensile strength in the failed tow direction, S11U. If the ratio of σn to S11U exceeds a user specified value β, the element is deleted. β must be specified on the first data line following the *ELEMENT DELETION keyword. For example:

*ELEMENT DELETION, TYPE=FIBER, CRIT=RELOAD
0.3

In this example, if σn meets or exceeds 30% of S11U, the element is deleted. The RELOAD criterion also includes the logic of the BOTH criterion, so that a fiber failure in both tows would also trigger the element to be deleted.

Note: Any combination of TYPE parameters may be used for a given material. Each TYPE parameter would require its own *ELEMENT DELETION keyword.

Note: If no CRIT parameter is provided, the HIN file will always default to CRIT=NONE, in which case element deletion is not monitored for the given TYPE parameter.

Cohesive Materials

Element deletion of cohesive elements is controlled entirely by the *DEPVAR keyword. The cohesive element is flagged for deletion when damage is fully accumulated (SDV6 = 1). There is no HIN file keyword required for cohesive element deletion.