LaRC02 Criterion

The LaRC02 criterion [55] identifies fiber failure and matrix cracking in a unidirectional composite.

Fiber failure is further divided into three possible failure modes:

Matrix cracking is also divided into three possible failure modes:

If a failure index (FI) equals or exceeds 1.0, failure occurs (fiber or matrix failure).

Common Terms Used in LaRC02

This section presents common terms seen in the LaRC02 failure criteria.

XT = Value of σ11 at longitudinal tensile failure

XC = Value of σ11 at longitudinal compressive failure

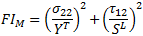
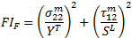
YT = Value of σ22 at transverse tensile failure

YC = Value of σ22 at transverse compressive failure

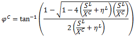
SL = Absolute value of σ12 at longitudinal shear failure

ST = Absolute value of σ23 at transverse shear failure

α0 = Angle of the fracture plane under uniaxial transverse compression (set to 53°)

α = Angle of the fracture plane that maximizes the failure index

G12 = Longitudinal shear moduli

Tensile Fiber Failure

If the longitudinal normal stress (σ11) is positive, the tensile fiber failure mode is used to determine if fiber failure occurs. The tensile fiber failure criterion is

Where ε11 is the current longitudinal strain and is the longitudinal strain at fiber tensile failure.

is calculated from axial tensile strength of the composite as

Fiber Compressive Failure with Matrix Compression

There are two fiber compressive failure criterion. The stress state determines which one is used to evaluate fiber failure. Fiber compressive failure is evaluated in a rotated coordinate system. If the transverse normal stress () is positive, the criterion below is used to evaluate fiber failure.

If the transverse normal stress () is negative, the criterion below is used to evaluate fiber failure

Tensile Matrix Failure

The matrix tensile failure criteria is invoked if the transverse normal stress (σ22) is positive. The tensile matrix failure criterion is

Matrix Compression

There are two matrix compressive failure criterion. The stress state determines which one is used to evaluate matrix failure. If the longitudinal normal stress (σ11) is greater than or equal to the transverse compressive strength (YC), the following criterion is used to evaluate matrix failure

If the longitudinal normal stress (σ11) is less than the transverse compressive strength (YC), the material is considered to be in a moderate biaxial compressive state and the following criterion is used to evaluate matrix failure

This criterion uses stresses in the rotated coordinate system to calculate the effective stresses.