Matrix Constituent Failure Criterion (Woven Composites)

View the matrix failure criterion used for woven composite materials.

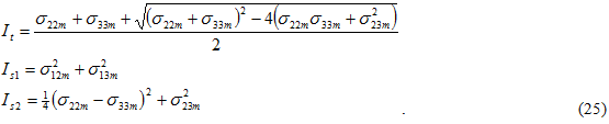
Applying a criterion with ten coefficients to a woven composite matrix material with less than optimally characterized strengths is not practical. Consequently, the matrix failure criterion used in woven composites contains only three adjustable parameters, which are directly fitted using the three measured knee strengths of the woven material. As with the unidirectional composites, invariant quantities are used. We choose as invariants It, Is1, and Is2 that describe the maximum tensile stress normal to the fiber direction, the maximum longitudinal shear stress, and the maximum transverse shear stress, respectively. Our criterion is simply a quadratic combination of these invariants.

where,

The {} denote Macaulay brackets where the value is zero if the quantity inside the brackets is negative; otherwise the value is the quantity inside the brackets. This ensures that tensile and shear stresses will combine to produce failure, but that compressive stresses won't reduce shear strength.

As with unidirectional composites, the matrix properties are degraded isotropically when failure is determined to occur.