The Reduced Strain Closure (RSC) model is an option for calculating fiber orientation when performing a fiber orientation analysis.

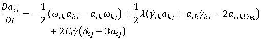
is the fiber orientation tensor.
is the vorticity tensor, and
is the deformation rate tensor.
is the fiber interaction coefficient, a scalar phenomenological parameter, the value of which is determined by fitting to experimental results. This term is added to the original Jeffery form to account for fiber-fiber interactions. 
.
, is replaced by 
and
, are defined as: 

Here,
is the pth eigenvalue of the orientation tensor
, and
is the ith component of the pth eigenvector of the orientation tensor
.
The scalar factor
is a phenomenological parameter, and
to model the slow orientation dynamics. The smaller the scalar factor
, the slower the orientation tensor develops with flow, and the thicker the orientation core layer becomes. When
= 1, the RSC model is reduced to the original Folgar-Tucker model.
J. Wang, J.F. O’Gara, and C.L. Tucker III, An Objective Model for Slow Orientation Dynamics in Concentrated Fiber Suspensions: Theory and Rheological Evidence. Journal of Rheology, 52(5):1179-1200 (2008).