The governing stress equilibrium equation is

Equation 9
where
σ is the stress. The mechanical constitutive law is

Equation 10
where C is the fourth order material stiffness tensor and
εe is elastic strain.
Small deformation theory
For small deformations, the total strain can be calculated as

Equation 11
where
ε,
εp, and
εTare the total strain, plastic strain, and thermal strain, respectively.
The thermal strain is computed as

Equations 12 through 14
where
α is the thermal expansion coefficient and T
ref is reference temperature.
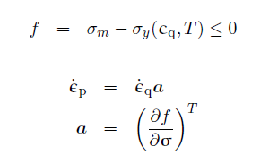
The plastic strain is computed by enforcing the von Mises yield criterion and the Prandtl-Reuss flow rule:

Equations 15 through 17
where
f is the yield function, σm is Mises' stress, σy yield stress, εq is the equivalent plastic strain, andα is the flow vector.
Large deformation theory
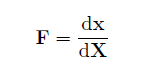
The governing mechanical stress
σ equilibrium equation, when the current spacial location of the part x in a deformed state may vary significantly from the undeformed reference configuration X state, (see Reference 3) is written as

Equation 18
where the first Piola-Kirchoff stress tensor P is defined as

Equation 19
where
σ is the stress tensor and
J is the determinant of the deformation gradient F, which is defined as

Equation 20
The Green Strain E is calculated as

Equation 21
where the displacement gradient D is defined as
where I is the identity matrix. For small deformations, the total Lagrangian formulation will simplify and equate to the small deformation formulation.