This reinforcement system is divided into two zones.
Lower zone
The reinforcement belonging to this group is distributed directly over the main reinforcement in the following area.
0.4h if h ≤ l
0.4*l if h > l
If the lower main reinforcement is distributed in the zone at the height = 0.15*h or 0.15*l, then, the reach of the horizontal reinforcement is limited from above and equals 0.55*h or 0.55*l.
Symbols:
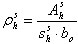
Ahi - Cross-section of horizontal reinforcement within the layer.
shi - Reinforcement spacing.
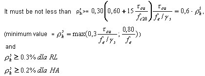
Percent of horizontal reinforcement equals
.
Additionally, the following condition should be verified.
, then the reinforcement should be distributed along the entire span length
, then a part of the reinforcement whose minimum amount is equal =
is distributed along the entire span length, while the remaining part of reinforcement (in the form of insets) is to be distributed in the near-support zone (within the lower zone), along the length of 0.3*lo (from the support length). Upper zone
This reinforcement is distributed along the entire span length according to the following.
Symbols:
Ahs - Cross-section of the horizontal reinforcement within the layers.
shs - Reinforcement span.
The percent of horizontal reinforcement equals

In the case when h > l, apply the reinforcement evenly distributed in the zone between l and 1.5*l. The percent of this reinforcement should be smaller than max(0.5*rhs; rhs(min)).