When sketching a spline, try to use the simplest lines (or combination of lines) to achieve the desired results.
For example, you may need to create a line that looks similar to the following image.

You could create this line using a combination of arcs and lines, or you could use a spline. Lines that are sketched using splines require more processing time, therefore it is recommended to use arc and line combinations instead of splines whenever possible.
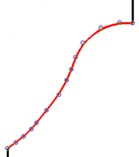
When it is necessary to create a line using a spline, you should use as few control points as possible to keep processing time to a minimum. The following image shows a spline that was sketched by choosing many control points (blue dots).

You can create the same spline using fewer control points, as shown.
