Adding wiring to your project is optional. You can create circuits without wiring; Revit maintains the intelligence associated with the circuit.
Permanent wiring can be created using either of 2 methods:
Convert to Wire panel. After creating permanent wiring, the wiring remains visible in the view when the circuit is not selected.
Electrical panel. You use circuit properties to specify the type of wire used in a circuit. See Circuit Properties.
Convert a temporary circuit to permanent wiring
Select the type of wiring for the circuit
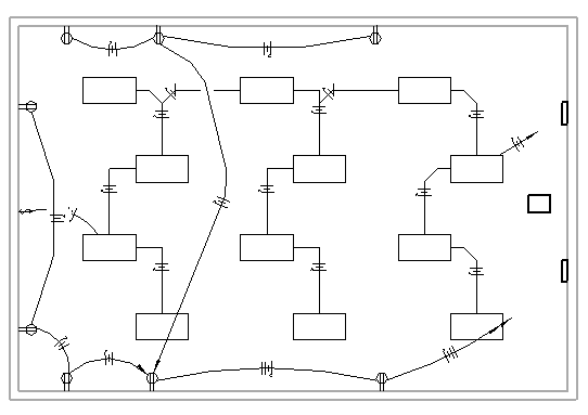
Arced wiring is often used to represent wiring that is concealed within walls, ceilings, or floors.
Chamfered wiring is often used to represent exposed wiring.
In the following example, the arc wiring connects the receptacles and chamfered wiring connects the lighting fixtures.
