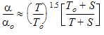
The following equation describes the Sutherland property variation:

Reference Temperature Considerations
The Reference Temperature in the Sutherland formulation is specific to the material. Air, for example, has a different reference temperature than nitrogen. When defining custom materials that use the Sutherland variation, you will need to know the value of the reference temperature. The reason is that the Environment Temperature (specified as part of the material or scenario environment) is used as the Reference Temperature in the property definition.
It is important to prescribe the material-specific reference temperature as the environment temperature. (For example, if the known material-specific reference temperature is 10 °C, specify 10 °C as the Temperature on the Material Environment dialog.) If a different value is specified as the environment temperature, the resultant property variation will be incorrect.
Fixed vs. Variable on the Environment dialog
When Fixed is selected on the Material Environment dialog, the value of the property (viscosity, conductivity, or density) defined with Power Law is always the reference value specified in the Material Editor. Unlike the other property variation methods, Sutherland does not update the property value to reflect the prescribed environment conditions when Fixed is selected.
When Variable is selected, the property value does update based on the environment conditions in the results field.
Material Tooltip
The displayed value of properties defined with Sutherland is always the reference value of the property, regardless of the environment conditions. If the material is set to Fixed, this is the value used throughout the model. If the material is set to Variable, the property updates based on field temperature values.