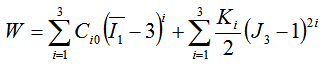
The Yeoh material model is a hyperelastic material model and is available for 2D, brick and tetrahedral elements. The material properties are listed below.
Click the Curve Fit button on the Element Material Specification dialog to use theCurve Fitting routine. This routine calculates the material constants using measured stress-strain data.
The potential function of the Yeoh material is as follows:
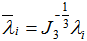
where
, the first deviatoric strain invariant
, the deviatoric stretches
, the principal stretches
, the total volume ratio Notes: