Calcul des proportions de force de courroie trapézoïdale

Equations génériques utilisées

Où m correspond à une masse spécifique de courroie définie ainsi : m = S ρ

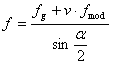
Facteur de frottement modificateur de la poulie considérée

f = f g + v f mod

Equations fondamentales de poulie d'entraînement et de courroie

puissance de transmission

Vitesse de courroie

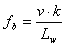
Fréquence de flexion de la courroie

Amplitude de tension

Force centrifuge

Fc = z m v 2

Tensions dans la course de courroie

A l'aide des équations ci-après, l'application commence par identifier la poulie la plus suspecte, celle qui requiert la tension d'installation maximale afin de transmettre une charge. La tension de la course de courroie est ajustée pour chaque poulie en fonction de la tension d'installation initiale.

F 1i - F p P xi - F 2i = 0

Le critère d'identification de la poulie la plus suspecte correspond à la tension maximale du brin tendu

F 1max = max (F 1i )

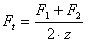
La tension totale maximale de chaque course de courroie (par courroie) lorsque la transmission est en pleine charge se détermine ainsi :

Où expression "k 1 F 1max " correspond à la tension maximale réelle sur la portée de la courroie considérée pour toutes les courroies de la transmission. Ainsi, toutes les tensions correspondantes dans les portées individuelles sont recalculées pour respecter la condition suivante :

F 1i - F P P xi - F 2i = 0

La charge par essieu résultante pour chaque poulie lorsque la transmission est en pleine charge est :

Remarque : Pour les poulies entraînées et les tendeurs, F 1 et F 2 sont inversés au sein du générateur, de sorte que F 1 représente la tension dans la course de courroie d'entrée et que F 2 représente la tension dans la course de courroie de sortie, en matière de sens de la courroie.

Tension d'installation initiale et force de tension statique de la courroie

La tension d'installation initiale (par courroie) peut être ajustée à l'aide du facteur de tension, puis établie de la manière suivante :

Une force de tension statique F v est déterminée pour chaque poulie. L'application calcule la force de tension qui se présente le long du trait d'axe de la course de courroie de la manière suivante :

Signification des variables utilisées :

F Force tangentielle [N]
β Arc de contact [deg]
α Inclinaison du bord [degrés]
C Force centrifuge [N]
N Force normale [N]
m Masse spécifique de la courroie [kg/m]
v Vitesse de la courroie [m/s]
R Rayon de la poulie [m]
S Surface de section de la courroie [m 2 ]
T Couple agissant sur la poulie considérée [Nm]
D p Diamètre primitif de la poulie [m]
k Nombre de poulies [-]
P puissance de transmission [N]
v Vitesse de la courroie [m/s]
F c Force centrifuge [N]
F 1 Tension de course de courroie en entrée pour la poulie considérée [-]
F 2 Tension de course de courroie en sortie pour la poulie considérée [-]
f Facteur de frottement modifié de la poulie considéré [-]
P x Rapport de puissance de la poulie considérée [-]
f g Facteur de frottement de la matière de poulie et de la courroie considérées [-]

f mod

Facteur de vitesse de la modification de la friction [s/m]
Z Nombre de courroies [-]
ρ Densité de la courroie [kg/m3]
F t Tension d'installation initiale de la courroie [N]
F v Force de tension statique de la poulie considérée [N]
k 1 Facteur de tension de la courroie [-]
Remarque : i - index de la poulie