Conception de soudure |
Moment d'inertie de la soudure d'angle J [mm 4 , po 4 ] |
Position du centre de gravité d'un groupe de soudures en coupe |
|
![]() |
![]() |
|
![]() |
![]() |
|
![]() |
![]() |
|
![]() |
![]() |
|
![]() |
![]() |
|
![]() |
![]() |
|
J = π a (r + a / 2) 3 |
- |
|
![]()
|
![]()
|
|
![]()
|
![]()
|
|
![]()
|
![]() |
|
![]()
|
![]() |
|
![]()
|
![]() |
|
![]()
|
![]() |
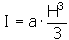
Signification des variables utilisées :
a |
longueur de la soudure d'angle [mm, po] |
B |
largeur du groupe de soudures [mm, po] |
H |
hauteur du groupe de soudures [mm, po] |
L |
longueur de la soudure [mm, po] |
r |
rayon de la soudure [mm, po] |
s |
épaisseur de l'âme [mm, po] |
t |
épaisseur du bord tombé [mm, po] |