Modification des équations de dépliage personnalisées

Utilisez des équations personnalisées pour spécifier de façon précise la représentation de l'aplatissement des zones de pliage dans les modèles pliés de pièces en tôle.

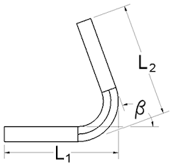
Les pièces en tôle sont souvent définies à l'état plié ou fonctionnel, mais elles sont fabriquées à partir d'une feuille plate. Les plis dépliés pour former la mise à plat déforment la matière dans la zone de pliage. L'étendue de la déformation dépend de plusieurs variables. La transformation d'un modèle plié à l'état aplati nécessite de tenir compte de cette déformation à l'aide de l'une des trois méthodes suivantes :

Les équations personnalisées sont définies dans une règle de dépliage nommée, spécifiée à l'aide de la boîte de dialogue Editeur de styles et de normes.

Equation de type Compensation du pli

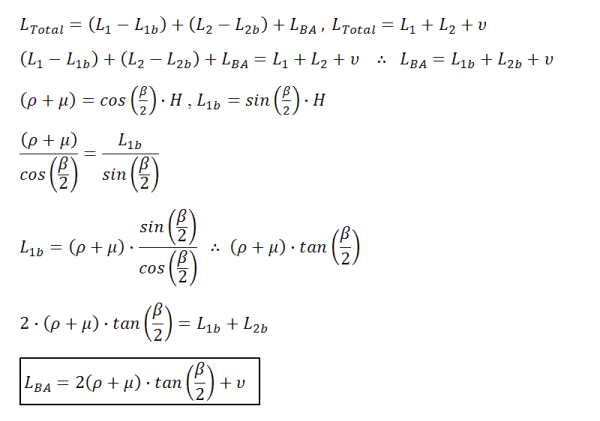
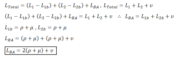
L'équation de compensation du pli permet de déterminer la longueur développée totale :

où :
  • . est la longueur développée totale.
  • . est la distance entre la première face de détail et le sommet virtuel.
  • . est la distance entre la deuxième face de détail et le sommet virtuel.
  • . est le résultat du calcul de perte au pli. Inventor calcule une perte au pli à l'aide des équations suivantes. Dans les cas angulaires, où , Inventor utilise l'équation , où :
    • . est l'angle de pliage.
    • . est la longueur de perte au pli.
    • . est le rayon interne de la plaque pliée.
    • . est l'épaisseur de la tôle.
    • . est le résultat du calcul de perte au pli.

Le développement de l'équation d'origine pour inclure le calcul de perte au pli permet d'obtenir :

Dans les cas angulaires où , l'équation suivante est utilisée :

Le développement de l'équation d'origine pour inclure le calcul de perte au pli permet d'obtenir :

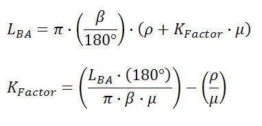
Une fois la perte au pli déterminée, il est possible d'obtenir le FacteurX à l'aide de :

Equation de type Déduction du pli

L'équation de déduction du pli permet de déterminer la longueur développée totale :

où :
  • . est la longueur développée totale.
  • . est la distance entre la première face de détail et le sommet virtuel.
  • . est la distance entre la deuxième face de détail et le sommet virtuel.
  • . est le résultat du calcul de perte au pli.

L'équation de déduction du pli fournit une méthode de calcul qui est l'exact opposé de la méthode de compensation du pli.

Dans le cas d'une déduction du pli, Inventor calcule une perte au pli à l'aide des équations suivantes.

Dans les cas angulaires :

l'équation est , où :
  • . est l'angle de pliage.
  • . est la longueur de perte au pli.
  • . est le rayon interne de la plaque pliée.
  • . est l'épaisseur de la tôle.
  • . est le résultat du calcul de perte au pli.

Dans les cas angulaires, où , l'équation utilisée est :

Equation de type Perte au pli

L'équation de perte au pli permet de déterminer la longueur développée totale, où :
  • . est la longueur développée totale.
  • . est la longueur de la première plaque pliée.
  • . est la longueur de la deuxième plaque pliée.
  • . est le résultat du calcul de perte au pli.

Une équation définie est fournie pour obtenir directement la perte au pli. Il est possible d'obtenir le FacteurX à l'aide de l'équation suivante :

Equation de type FacteurX

Pour déterminer la longueur développée totale à l'aide la méthode FacteurX, utilisez l'équation suivante :

où :
  • . est la longueur développée totale.
  • . est la longueur de la première plaque pliée.
  • . est la longueur de la deuxième plaque pliée.
  • . est le résultat du calcul de perte au pli.

La tolérance de pliage est calculée à l'aide de l'équation suivante :

Modifier les équations de dépliage personnalisées

Vous pouvez définir quatre types d'équations personnalisées lors de la modification d'une règle de dépliage nommée.

Le type d'équation sélectionné dans l'éditeur de styles et de normes détermine la variable définissant la partie gauche de l'équation. Les touches d'insertion de caractère de la boîte de dialogue Modification d'équation permettent d'insérer en un clic un angle, un rayon, une épaisseur ou le nombre Pi.

Le type de variable est défini par le type d'équation sélectionné dans la boîte de dialogue Editeur de styles et de normes avant l'ouverture de la boîte de dialogue de modification d'équation.

  1. Dans la boîte de dialogue Editeur de styles et de normes, lorsque la méthode de dépliage sélectionnée correspond à Equation personnalisée, cliquez deux fois dans la cellule Equation personnalisée située à gauche des bornes pour lesquelles vous souhaitez définir une équation personnalisée.
  2. Dans la boîte de dialogue Modification d'équation, saisissez l'équation définissant la variable affichée hors de la zone de saisie d'équation :
    • . Insère la variable correspondant à l'angle mesuré dans une équation de dépliage personnalisée.
    • . Insère la variable correspondant au rayon interne mesuré dans une équation de dépliage personnalisée.
    • . Insère la variable correspondant à l'épaisseur mesurée dans une équation de dépliage personnalisée.
    • . Insère la valeur mathématique de Pi dans une équation de dépliage personnalisée.
    • La zone de saisie d'équation prend en charge la saisie au clavier, permettant de définir une équation de dépliage personnalisée.
  3. (Facultatif) Pour modifier le type de variable pour lequel l'équation personnalisée est résolue, cliquez sur Annuler et sélectionnez le type d'équation adéquat dans la boîte de dialogue Editeur de styles et de normes.

Modifier les bornes d'une équation de dépliage personnalisée

Vous pouvez définir des équations de dépliage pour des intervalles de valeurs d'angles, de rayons ou d'épaisseurs en spécifiant des bornes à l'aide de la boîte de dialogue Modification de délimitation.

  1. Dans la boîte de dialogue Editeur de styles et de normes, lorsque la méthode de dépliage sélectionnée correspond à Equation personnalisée, cliquez deux fois sur la cellule Bornes, à droite de l'équation personnalisée pour laquelle vous souhaitez définir une borne.
  2. Dans la boîte de dialogue Modification de délimitation, dans la ligne supérieure des listes déroulantes, sélectionnez les opérateurs d'égalité et le type d'intervalle pour créer une équation déterminant une plage d'angle, d'épaisseur ou de rayon.
  3. Dans les lignes inférieures, dans les zones situées à droite et à gauche, saisissez les valeurs des bornes.