Pour la norme EC3 (ENV 1993-1-:1992), la contreflèche initiale est calculée d’après la formule suivante :

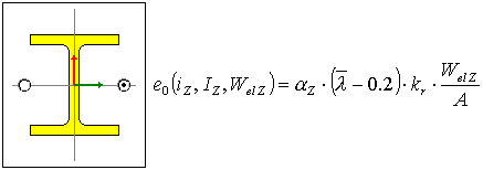
Les calculs de la contreflèche suivant l’axe Z (flambement par rapport à l’axe Y-Y) :

Les calculs de la contreflèche suivant l’axe Y (flambement par rapport à l’axe Z-Z) :

Où :
A – Aire de section transversale (A = SX)

a - Eurocode 3 tableaux 5.5.3 et 5.5.1
– Elancement réduit, Eurocode 5.5.1.2 formule (5.46)

Vu la complexité des calculs, on a admis que :

Re [Pa] – Limite d'élasticité du matériau
l = l / i
Où :
l = L * coefficient de longueur de flambement
L – Longueur de la barre

tableau 5.5.1
ks est indiqué dans la table 5.5.1 dépendant de gM1 ; les valeurs indiquées dans ce tableau pour gM1 = 1.1 sont toujours utilisées dans les calculs:
Pour la norme (EN 1993-1:2005) - Méthode par tableau, la contreflèche est calculée d’après le tableau 5.1. La contreflèche dépend de la longueur de la barre et du type d’analyse sélectionné :