A propos de l'esquisse de splines

Lorsque vous esquissez une spline, essayez d'utiliser les lignes (ou combinaisons de lignes) les plus simples pour obtenir le résultat souhaité.

Par exemple, imaginons que vous souhaitez tracer une ligne telle que la suivante.

Pour esquisser cette ligne, vous pouvez faire appel à une combinaison d'arcs et de lignes ou bien à une spline. Les lignes esquissées à l'aide de splines requièrent un temps de traitement plus long. Il est donc recommandé, dans la mesure du possible, d'utiliser un arc et une combinaison de lignes, plutôt qu'une spline.

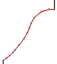
Lorsque vous devez esquisser une ligne à l'aide d'une spline, réduisez autant que possible le nombre de points de contrôle utilisés, afin de limiter le temps de traitement. La figure suivante présente une spline esquissée à l'aide de nombreux points de contrôle (points bleus).

Vous pouvez créer la même spline en choisissant moins de points de contrôle, comme dans la figure ci-dessous.