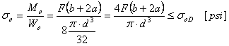
Sollecitazione di flessione

Pressione nell'asta
Pressione nel perno
Sollecitazione a taglio
Sollecitazione a taglio
dove:
|
F |
forza [lb] |
|
|
σ 0 |
sollecitazione di flessione [psia]. |
|
|
σ 0D |
sollecitazione di flessione ammissibile [psi] |
|
|
M 0 |
momento flettente [lb ft] |
|
|
W 0 |
modulo sezione di flessione [in 3 ] |
|
| τ |
sollecitazione a taglio [psi] |
|
|
τ D |
sollecitazione a taglio ammissibile [psi] |
|
|
d |
diametro del perno [in] |
|
|
p 1 |
pressione nell'asta [MPa] |
|
|
p 2 |
pressione nel perno [psi] |
|
|
p 1D |
pressione ammissibile nell'asta [psi] |
|
|
p 2D |
pressione ammissibile nel perno [psi] |
|
|
b |
larghezza asta [in] |
|
|
a |
larghezza braccio del perno [in] |