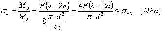
Sollecitazione di flessione

Pressione nell'asta
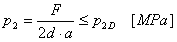
Pressione nel perno
Sollecitazione a taglio
dove:
|
F |
forza [N] |
|
|
σ 0 |
sollecitazione di flessione [MPa] |
|
|
σ 0D |
Sollecitazione di flessione ammissibile [MPa] |
|
|
M 0 |
momento flettente [N mm] |
|
|
W 0 |
modulo sezione flettente [mm 3 ] |
|
| τ |
sollecitazione a taglio [MPa] |
|
|
τ D |
sollecitazione a taglio ammissibile [MPa] |
|
|
d |
diametro del perno [mm] |
|
|
p 1 |
pressione nell'asta [MPa] |
|
|
p 2 |
pressione nel perno [MPa] |
|
|
p 1D |
pressione ammissibile nell'asta [MPa] |
|
|
p 2D |
pressione ammissibile nel perno [MPa] |
|
|
b |
larghezza asta [mm] |
|
|
a |
larghezza braccio del perno [mm] |