Dopo aver selezionato Otrotropo 3D nell'elenco a discesa Tipo, verranno visualizzate le seguenti sezioni di materiale: Generale, Rigidità, Taglio, Coefficiente di Poisson, Espansione termica, Valori consentiti e Termico.
La stabilità materiale richiede che:
Se una delle due condizioni non viene soddisfatta, viene visualizzato un messaggio di avviso.
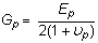
Potrebbe essere difficile trovare tutte le nove costanti ortotrope. In alcuni problemi pratici, le proprietà materiali potrebbero essere ridotte a una normale anisotropia in cui il materiale risulta essere isotropico su un piano (ad esempio, piano 1-2) e presenta diverse proprietà nella direzione perpendicolare a tale piano. Nel piano di isotropia, le proprietà vengono ridotte a:
con
e
.
Sono disponibili cinque costanti materiali indipendenti per la normale anisotropia (ovvero,
,
,
,
,
e
). Se il materiale presenta un'anisotropia planare, in cui il materiale è ortotropo solo su un piano, le costanti elastiche vengono ridotte a sette (ovvero,
,
,
,
,
,
e
).
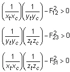
crea complicazioni nell'uso di questa teoria. Per questo motivo è consigliabile impostare F12, F23 e F31 su zero.
Per le analisi termiche, è possibile immettere i valori per matrice di conducibilità, calore specifico e densità della massa nella sezione Termico. La densità della massa viene ripetuta poiché potrebbe essere un requisito per l'analisi termica, nonché per l'analisi strutturale.