Wind simulation does not result in totally stable results as it is a dynamic process changing over time.
In order to address this problem, the program measures the resulting total forces convergence over a specific time period.
.
.
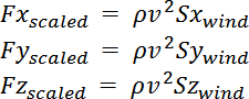
. The resultant forces depend on the model size. To properly scale the resultant forces, the program uses the dynamic pressure
and the surface values
,
, and
.
The surface values are used to scale the corresponding forces.
This approach allows for the neutralization of disproportions of the model in the wind directions x, y and z.
represents the dynamic pressure in pascals.
represents the fluid density in kg/m3 .
represents the fluid velocity in m/s.
corresponds to the area covered by the projection of all the triangles of the model on the plane perpendicular to the X wind direction.
corresponds to the area covered by the projection of all the triangles of the model on the plane perpendicular to the Y wind direction.
corresponds to the area covered by the projection of all the triangles of the model on the plane perpendicular to the Z wind direction. The scaling forces are calculated as follows:

To measure the total forces convergence over a specific time period, the resultant forces
,
, and
are calculated and stored for a number of steps n, and then the maximum change for a given moment is calculated as follows:

Where
,
, and
represent the stored values of
,
, and
for a given step, and for i=1 to n.
These maximum force changes are then scaled by
,
, and
respectively and displayed as a percentage.
The final metric is the maximum of these three scaled values:

Where
= 0,5%, i.e. the default load deviation factor.
n is the number of simulation steps for which
,
, and
are stored for comparison with the current step. The default value for n is 10.