L'aggiunta di cablaggio al progetto è facoltativa. È possibile creare circuiti senza cablaggio. In Revit, le informazioni associate al circuito vengono mantenute.
La creazione di un cablaggio permanente viene eseguita utilizzando uno dei due seguenti metodi:
gruppo Converti in cavo. Il cablaggio permanente creato rimane visibile nella vista quando il circuito non è selezionato.
gruppo Elettrico. Le proprietà relative ai circuiti consentono di specificare il tipo di cavo utilizzato in un circuito. Vedere Proprietà circuito.
Conversione di un circuito temporaneo in un cablaggio permanente
Selezione del tipo di cablaggio per il circuito
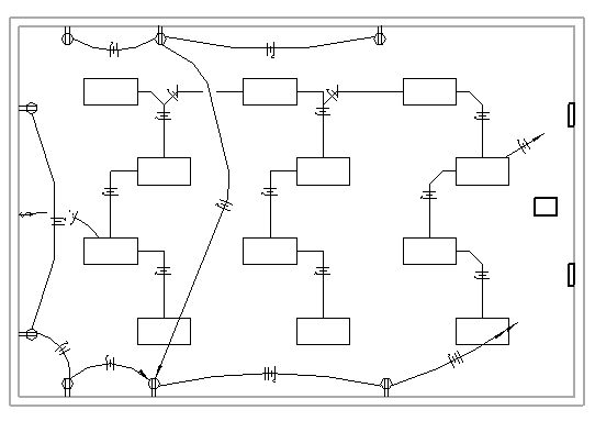
Questo tipo di collegamento viene utilizzato soprattutto per rappresentare il cablaggio nascosto in muri, controsoffitti o pavimenti.
Il collegamento a smusso viene utilizzato in particolare per rappresentare un cablaggio scoperto.
Nell'esempio che segue, il collegamento ad arco viene utilizzato per il collegamento delle prese mentre quello a smusso consente il collegamento dei dispositivi di illuminazione.
