SST K-Omega Turbulence Models

The SST k-omega turbulence model is a two-equation eddy-viscosity model that is used for many aerodynamic applications. It is a hybrid model combining the Wilcox k-omega and the k-epsilon models. A blending function, F1, activates the Wilcox model near the wall and the k-epsilon model in the free stream. This ensures that the appropriate model is utilized throughout the flow field:

SST k-omega Governing Equations

Turbulence Kinetic Energy

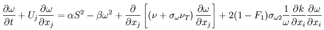
Specific Dissipation Rate

F1 (Blending Function)

Note: F1 = 1 inside the boundary layer and 0 in the free stream.

CDkw

Kinematic eddy viscosity

F2 (second blending function)

P K(Production limiter)

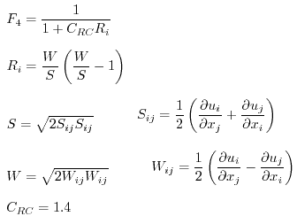
SST k-omega RC Models

In the Smirnov-Mentor Rotation/Curvature form of the SST model, the production term, P, is multiplied by the function:

where:

The remaining functions are defined as:

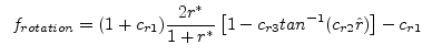
In the Hellsten simplified Rotation/Curvature form of the SST model, the destruction term is multiplied by the following function:

where:

Additional notes about SST k-omega

  1. The SST models exhibit less sensitivity to free stream conditions (flow outside the boundary layer) than many other turbulence models.
  2. The shear stress limiter helps the k-omega model avoid a build-up of excessive turbulent kinetic energy near stagnation points.
  3. The SST models provide a platform for additional extensions such as SAS and laminar-turbulence transition.

Advanced Parameters

The Advanced Turbulence Parameters dialog contains additional options for the K-omega model:

Intelligent Wall Formulation

The Intelligent Wall Formulation reduces the sensitivity of results to the level of mesh refinement along the wall. It is enabled by default for SST k-omega.

Far-field TKE and Far-field omega

These terms define the boundary condition values for turbulence intensity and omega.

Note that L is the approximate domain length.

The resultant free-stream turbulent viscosity (from a combination of these two values) should be between 10-5 and 10-2 times the free-stream laminar viscosity.

Sources

http://www.cfd-online.com/Wiki/SST_k-omega_model

http://turbmodels.larc.nasa.gov/sst.html