要素の削除

要素の削除機能をオンにすると、解析時に要素を削除できます。要素の削除は、HIN ファイルでコントロールされます。

要素が削除されると、その要素のすべての応力が 0 に設定されるため、シミュレーションは要素のエネルギーの影響を受けなくなります。複数の積分点を使用した要素は、各積分点に削除フラグが設定されるまで削除されません。要素が削除されるまで、すべての積分点にゼロ以外の剛性が設定され、個別の削除ステータスに関係なく、モデル全体のひずみエネルギーに影響し続けます。

要素の削除をオンにするには、以下の 3 つの手順を実行する必要があります。

  1. 入力ファイルの * DEPVAR キーワードを変更します
  2. 変数 STATUS の出力を要求します。
  3. HIN ファイルで要素削除基準を指定します

* DEPVAR を変更する

複合材料

複合材料の場合、入力ファイルの *DEPVAR キーワードでは、パラメータ DELETE の値を 1 に設定する必要があります。以下に例を示します。

*DEPVAR, DELETE=1
8

Abaqus/CAE を使用するか、テキスト エディタで入力ファイルを手動で編集することで、パラメータ DELETE=1 を追加できます。Abaqus/CAE の場合:

  1. [プロパティ]モジュールに切り替えます。
  2. [材料] > [編集] > [材料の名前]をクリックします。
  3. 材料の動作リストから DEPVAR を選択します。
  4. 要素の削除をコントロールする変数を 1 に設定します。
  5. [OK]をクリックします。

粘性材料(Abaqus 2016 以降でのみサポート)

粘性材料の場合、入力ファイルの *DEPVAR キーワードでは、パラメータ DELETE の値を 10 に設定する必要があります。以下に例を示します。

*DEPVAR, DELETE=10
10

上記のとおり、Abaqus/CAE を使用するか、テキスト エディタで入力ファイルを手動で編集することで、パラメータ DELETE=10 を追加できます。

注: 結合力要素の要素削除は、* DEPVAR キーワードによって完全にコントロールされます。 損傷が完全に蓄積されると、結合力要素には削除フラグが設定されます(SDV6 = 1)。結合力要素の削除に必要な HIN ファイル キーワードはありません。

出力を要求する

変数 STATUS を要素の出力リストに含める必要があります。以下に例を示します。

*OUTPUT, FIELD
*ELEMENTOUTPUT
SDV, STATUS

Abaqus/CAE を使用するか、テキスト エディタで入力ファイルを手動で編集することで、変数 STATUS を出力の要求に追加できます。Abaqus/CAE の場合:

  1. [出力] > [フィールド出力要求] > [マネージャ]をクリックします。
  2. [編集]をクリックします。
  3. 出力変数のリストから[STATUS]を選択します。
  4. [OK]をクリックします。

注: この手順を省略しても、要素の削除は正しく機能します。ただし、Abaqus/Viewer では、削除対象の要素が表示から削除されません。

HIN ファイル

HIN ファイルのキーワード *ELEMENT DELETION は、削除基準をコントロールするために使用されます。*ELEMENT DELETION 基準は以下の形式となります。

*ELEMENT DELTION, TYPE=type, CRIT=crit

パラメータ TYPE および CRIT には入力が必要です。キーワード *ELEMENT DELETION は、HIN ファイル内のキーワード *MATERIAL の下にある必要があります。

一方向材料

一方向複合材料の場合、TYPE と CRIT の利用可能な組み合わせは以下のとおりです。

*ELEMENT DELETION, TYPE=MATRIX, CRIT=RELOAD
Max_Ratio

*ELEMENT DELETION, TYPE=MATRIX, CRIT=SPLIT
theta

*ELEMENT DELETION, TYPE=FIBER, CRIT=ANY

TYPE=MATRIX の場合は、RELOAD と SPLIT の 2 つの基準が使用できます。

TYPE=MATRIX, CRIT=RELOAD

母材が破損した後、要素の応力レベルが特定の大きさに到達すると、基準 RELOAD は要素を削除します。母材が破損すると、間隔 σ22、σ33、σ12、σ13、および σ23 の Von Mises 応力 σvmt は、全 Von Mises 応力 σvm11 など)と比較されます。σvmt と σvm の比率がユーザの指定値を超える場合は、要素には削除フラグが設定されます。

基準 RELOAD が、非繊維の主方向の応力テンソル レベルを評価しています。母材の破損後、この方向の剛性をできる限り低く保ちたいと考えています(母材に亀裂があるため)。ただし場合によっては、ひずみが大きいため、応力を再ロードすることができます。基準 RELOAD はこの動作で要素を削除できるため、適切ではない解析に対するエネルギーの影響は大きくありません。

CRIT=RELOAD を使用する場合は、σvmt と σvm の許容可能な最大比率を指定する必要があります。これは、キーワード *ELEMENT DELETION の後の最初の行で指定します。以下に例を示します。

*ELEMENT DELETION, TYPE=MATRIX, CRIT=RELOAD
0.2

この例では、σvmt が全 Von Mises 応力 σvm の 20% と一致する場合、または超える場合、要素が削除されます。

TYPE=MATRIX, CRIT=SPLIT

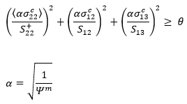
TYPE=MATRIX, CRIT=SPLIT の場合、母材の分割は母材の破損開始後に評価されます。母材の破損開始後、母材の分割が発生すると、要素に削除フラグが設定されます。分割は、次の基準によって決定されます。

α は一方向母材破損基準 ψm を使用して計算されたスケール係数です。θ は要素の削除開始をコントロールする、ユーザ定義のしきい値を表します。θ の既定値は 0.75 です。θ は 0 < θ ≤ 1 の範囲にある必要があります。複合応力の成分 σ22c、σ12c、σ13c だけが、分割の評価に使用されることに注意してください。これらは、母材の縦方向の分割に影響する応力成分です。σ22c を囲むマコーレーのカッコは、応力が引張である場合の母材分割の評価にだけ σ22c が影響を与えることを示しています。

しきい値 θ = 0.80 で分割が識別される場合に要素が削除される、次の例を考えます。

*MATERIAL, NAME=IM7_8552
*ELEMENT DELETION, TYPE=MATRIX, CRIT=SPLIT
0.8

TYPE=FIBER, CRIT=ANY

TYPE=FIBER の場合、利用可能な基準は ANY のみです。基準 ANY は、繊維が破損すると、要素の削除が自動的にトリガされることを示します。この基準のデータ行はありません。

瞬間的な劣化とエネルギー ベースの劣化に関する重要な注意事項

要素の削除は、使用する劣化スキームに応じて動作が異なります。瞬間的な劣化を使用した場合、要素の削除基準は、破損の開始と同時に監視されます。エネルギー ベースの劣化を使用した場合、要素の削除基準は、破断エネルギーがすべて放出されるまでは監視されません。

織物材料

織物複合材料の場合、TYPE と CRIT の次の組み合わせを使用できます。

*ELEMENT DELETION, TYPE=FIBER, CRIT=ANY

*ELEMENT DELETION, TYPE=FIBER, CRIT=BOTH

*ELEMENT DELETION, TYPE=FIBER, CRIT=RELOAD

織物複合材料に利用可能な要素の削除基準に基づいた母材破損はありません。

CRIT=ANY の場合、いずれかのけん引の繊維破損が発生すると、要素の削除がトリガされます。

CRIT=BOTH の場合、両方向のけん引の繊維破損が発生すると、要素の削除がトリガされます。

CRIT=RELOAD の場合、けん引方向の応力は、繊維の破損後に監視されます。破損けん引方向の垂直応力 σn は、破損けん引方向の最大引張強度 S11U と比較されます。σn と S11U の比率がユーザの指定値 β を超える場合は、要素が削除されます。β は、キーワード *ELEMENT DELETION の後の最初のデータ行で指定する必要があります。以下に例を示します。

*ELEMENT DELETION, TYPE=FIBER, CRIT=RELOAD
0.3

この例では、σn が S11U の 30% を満たす場合、または超える場合、要素が削除されます。また、基準 RELOAD には基準 BOTH のロジックも含まれるため、両方向のけん引の繊維破損により、要素が削除されます。

注: パラメータ TYPE を複数組み合わせると、任意の材料に使用できます。各パラメータ TYPE には、独自のキーワード *ELEMENT DELETION が必要になります。

注: パラメータ CRIT が含まれていない場合は、HIN ファイルは、常に CRIT=NONE を既定に設定し、この場合、任意のパラメータ TYPE の要素削除は監視されません。

粘性材料

結合力要素の要素削除は、* DEPVAR キーワードによって完全にコントロールされます。 損傷が完全に蓄積されると、結合力要素には削除フラグが設定されます(SDV6 = 1)。結合力要素の削除に必要な HIN ファイル キーワードはありません。