ベジェ カーブは、アンカーと接線という 2 つのタイプのコントロール頂点(CV)で構成された NURBS カーブのサブセットです。アンカーはカーブ上にあって接線の起点を定義し、接線は隣接するアンカーに続くカーブのシェイプを定義します。


ベジェ カーブは NURBS カーブのサブセットであるため、主な NURBS 操作はベジェ カーブに対しても実行できます。ベジェ カーブと NURBS カーブの組み合わせへの NURBS 操作も可能です。一般的に、ベジェ カーブと NURBS カーブに関連する操作結果は NURBS カーブになり、ベジェ カーブに関連するすべての操作結果はベジェ カーブになります。
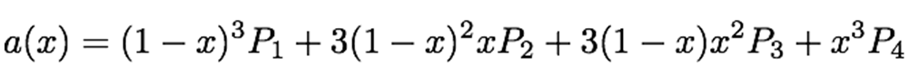
Maya のベジェ カーブはすべて三次方程式、つまり、p 1 から p 4 までの 4 つのポイントで定義される 2 つのアンカー間のカーブです。

このカーブは、p 1 から始まって p 2 の方へ移動し、p 3 を経てp 4 の方へ弧を描きます。

ここで x は 0 以上かつ 1 以下の任意の値です。
数学的には、ベジェ カーブは x の値ごとのポイントをプロットしてからつないで構築します。Maya では、アンカーをプロットし、接線(t 1 と t 2 )を手作業で調整してベジェ カーブを描画します。